“黑土资源持续利用和开发”专栏

东北松嫩典型黑土区长缓坡耕地土壤侵蚀沿坡长变化规律及其对土壤质量的影响

  • 刘华征 ,
  • 贾燕锋 ,
  • 范昊明 ,
  • 王佳楠 ,
  • 韩文宁
展开
  • 沈阳农业大学水利学院,辽宁省水土流失防控与生态修复重点实验室,沈阳 110161
贾燕锋(1980- ),女,河北张家口人,博士,讲师,硕士生导师,主要从事寒区水土流失与防治研究。E-mail:

刘华征(1998- ),女,辽宁阜新人,博士研究生,主要从事黑土侵蚀规律研究。E-mail:

收稿日期: 2021-11-22

  修回日期: 2022-07-04

  网络出版日期: 2022-12-28

基金资助

国家重点研发计划专项(2021YFD1500701)

国家重点研发计划战略性国际科技创新合作重点专项(2016YFE0202900)

Variation of soil erosion intensity along the long gentle farming slopes and its influence on soil quality in the typical mollisol region, Songnen Plain, Northeast China

  • LIU Hua-zheng ,
  • JIA Yan-feng ,
  • FAN Hao-ming ,
  • WANG Jia-nan ,
  • HAN Wen-ning
Expand
  • College of Water Conservancy/Key Laboratory of Soil Erosion Control and Ecological Restoration in Liaoning Province, Shenyang Agricultural University, Shenyang 110161, China

Received date: 2021-11-22

  Revised date: 2022-07-04

  Online published: 2022-12-28

摘要

东北黑土区,尤其是农垦地区,是我国重要的粮食生产基地。土壤侵蚀导致耕地质量严重退化,威胁粮食安全。选取克山农场坡长为1020 m的直型坡、凹型坡和凹—直复合型坡耕地,利用137Cs示踪技术估算坡面土壤侵蚀模数,测定土壤有机碳作为耕地土壤质量参数,揭示典型黑土区长缓坡耕地土壤侵蚀强度沿坡长变化规律及耕地土壤质量参数的响应。结果表明:(1)不同坡形长缓坡耕地土壤侵蚀差异显著,直型坡多年平均侵蚀速率(3040 t·km-2·a-1)<复合型坡(3395 t·km-2·a-1)<凹型坡(4220 t·km-2·a-1)。(2)直型坡、凹型坡、凹—直复合型坡均呈现出侵蚀强—弱周期性变化规律,其振荡周期分别为380 m、250 m和300 m。(3)土壤有机碳含量与土壤侵蚀速率呈极显著负相关关系,其沿坡长变化规律与土壤侵蚀速率沿坡长变化规律相反。土壤侵蚀是造成黑土坡耕地土壤质量退化的直接原因,研究结果可为黑土长缓坡耕地水土保持措施的精准布设及土壤养分管理提供理论支持。

本文引用格式

刘华征 , 贾燕锋 , 范昊明 , 王佳楠 , 韩文宁 . 东北松嫩典型黑土区长缓坡耕地土壤侵蚀沿坡长变化规律及其对土壤质量的影响[J]. 自然资源学报, 2022 , 37(9) : 2292 -2305 . DOI: 10.31497/zrzyxb.20220907

Abstract

The mollisol region is one of the main grain-producing bases in China, especially the long gentle slopes. Unfortunately, more than 80% of farmland there was suffering from soil erosion, but the variation of soil erosion along the long gentle slopes was still unclear, which will make it more difficult to control soil erosion and protect soil resources. Therefore, the aim of this study was to find the variation law of soil erosion along the gentle slopes. Three gentle slopes (a straight slope, a concave slope and a compound slope ) in Keshan Farm No. 5 were selected as the objects. Soil samples were collected at 30 m intervals along the slopes in early May, 2019. Then the 137Cs-activity was measured to evaluate the soil erosion and deposition rates, and to measure soil organic carbon as a parameter of cultivated land soil quality. Wavelet analysis was employed to quantify the variation of soil erosion along the gentle slopes and the response of cultivated land soil quality parameters. The results showed that: (1) The annual average erosion rates of straight slope, composite slope and concave slope are 3040 t·km-2·a-1, 3395 t·km-2·a-1 and 4220 t·km-2·a-1, respecctively. (2) The main changing periods of the whole straight gentle slope, the concave gentle slope, and the compound gentle slope were 380 m, 250 m, and 300 m, respectively. (3) There was a significant negative correlation between soil SOC content and soil erosion rate, and the spatial distribution of soil SOC along the slope length was opposite to that of soil erosion rate, indicating that soil erosion is a key driving factor for soil degradation. Conclusions of this study can help to formulate the targeted soil and water conservation measures for the realization of soil nutrient management along long gentle slope and provides theoretical guidance for soil erosion control of the long gentle cultivated slopes in the mollisol region of Northeast China.

东北黑土区是我国重要的粮食生产基地和最大的商品粮生产基地。然而,当前面临的严重的土壤侵蚀和养分流失直接威胁我国的粮食战略安全和可持续发展。近百年来土地利用方式的转变及不合理的农业耕作措施是土壤侵蚀加速的主要原因。土壤侵蚀导致表土层流失,使耕层土壤变薄,土壤养分含量下降,肥力严重退化,导致粮食减产;若侵蚀继续发展,将直接导致耕地损毁,威胁粮食安全[1,2]
黑土耕地地形具有坡缓坡长的特征,80%以上的水土流失面积发生在坡耕地[1]。地形在很大程度上决定着径流的汇集方式和过程,是影响坡面水土流失的主要因素。坡度、坡长作为地貌空间结构特征,密切影响着土壤侵蚀发生的强度与过程。坡度大小在一定程度上决定着径流的剥蚀与搬运能力[3,4];坡长则通过影响坡面径流、泥沙的输移过程从而导致坡面侵蚀形态发生演变,继而影响坡面侵蚀产流产沙过程[5]。相对而言,坡长对土壤侵蚀过程的影响更为复杂[6]。Govers[7]和Bryan等[8]通过研究坡长与径流的关系,发现坡长对产流率的影响与坡面坡度相关。在一定范围内,随坡长和坡度增大,坡面径流量和土壤流失量增大[9]。坡形是坡度和坡长的组合形态,影响坡面土壤侵蚀发生发展的过程及程度。通过对不同坡形土壤侵蚀特性研究结果表明,凹型坡产流量和含沙量最大,其次为凸型坡,直型坡最小[10]。在东北黑土区,直型坡侵蚀强度呈规律性波动,其振荡周期为142 m[11],凸型坡坡面沿坡长呈现先侵蚀后沉积的分布特征[12],但凹型坡和复合型坡坡面侵蚀规律尚不明确。
黑土层厚度及其土壤有机质含量是衡量黑土耕地质量的重要指标[13-15]。我国黑土层厚度每年以3~10 mm的速度递减,黑土层平均厚度已由20世纪50年代的50~80 cm,下降至2000年的20~40 cm,部分严重地区土壤母质暴露,生产能力丧失[1]。土壤有机碳(Soil Organic Carbon,SOC)是土壤有机质的重要组成部分[16],通过影响土壤物理、化学、生物性质影响土壤肥力和作物产量[17,18]。SOC主要分布于表层土壤,富含有机碳的表土易随水力、耕作侵蚀被剥离、迁移,重新在坡面发生再分布,使土壤整体的保肥和保水性下降[19,20]。在东北黑土地区,侵蚀严重部位土壤有机质降幅最大,不同坡形中凸形坡较凹型坡和直型坡坡面损失大[21];长期侵蚀条件下,土壤经历了强烈的侵蚀和沉积过程,坡肩土壤侵蚀最为强烈,坡顶、坡背侵蚀微弱,坡脚和坡足表现为沉积作用,土壤有机碳再分布后在沉积区累积[22-25],但土壤有机碳分布如何随坡长侵蚀强度变化尚不清晰。
137Cs是由大气核试验产生的人工放射性核素,物理半衰期为30.17 a。137Cs随大气降水过程沉降到地表,强烈吸附在表土中的粘土矿物质和土壤有机质上,它在土壤中的重新分布完全是由土壤侵蚀或沉积、土壤耕作等物理过程引起的。根据137Cs的迁移特征,可以估算土壤侵蚀速率,分析土壤侵蚀的空间分布特征,在世界范围内137Cs被越来越多地用于估算土壤再分配率[12,26]。有学者曾成功地使用137Cs技术讨论黑土区坡面尺度土壤侵蚀特征,但采样长度均不超过500 m,远远小于黑土区坡面长度;且以往对黑土长缓坡面土壤侵蚀规律的研究多集中于侵蚀强度在不同坡位的空间分布上,忽略了坡长对土壤侵蚀强度沿坡面变化的影响[11,22-24,27,28]
因此,本文以东北典型黑土区长缓坡耕地为研究对象,利用137Cs示踪技术结合小波分析理论,估算坡面土壤侵蚀速率,揭示不同坡形土壤侵蚀强度沿坡长变化规律,明确坡面土壤质量对土壤侵蚀速率沿坡长变化的响应关系,以便为控制黑土区长缓坡耕地土壤侵蚀退化提供科学依据。

1 研究方法与数据来源

1.1 研究区概况

克山农场(48.35157°N,125.4492°E)位于松嫩典型黑土亚区北部,属于小兴安岭西南麓向松嫩平原过渡的典型黑土区核心地带。海拔在250~383 m之间,坡长且缓,坡耕地坡度多为1~3°,坡长多为500~2000 m,最长达4000 m,漫川漫岗地貌特征明显。属温带大陆性季风气候,四季温差大,年均气温1.9 ℃,年均降水量503 mm,6~9月降水量占全年降水量的80.4%。土壤以黏化湿润均腐土为主,平均黑土层厚度20~40 cm,为典型厚层黑土区。
北大荒农垦集团是我国重要的商品粮基地,粮食总量约占全国5%。克山农场隶属于北大荒农垦集团齐齐哈尔分局,是农垦西部的重要粮食产区。克山农场五分场开垦近 70年,平均坡长约2200 m,顺坡方向平均坡度1.5°,为典型长缓坡耕地。通过遥感影像,结合地形特征,选取空间位置相邻的长缓坡耕地进行实地调察。根据勘察,选取种植历史一致、空间位置相邻、坡长为1020 m的直型坡、凹型坡和凹—直复合型坡作为研究对象(图1)。坡面顺坡起垄轮作耕作,耕作方向与径流方向基本一致,轮作作物为土豆(Solanum tuberosum)和玉米(Zea mays),秋季整地,春季点播播种。
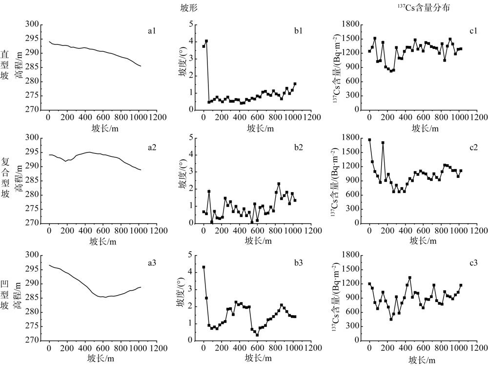
图1 研究区位置及坡耕地地形

Fig. 1 Location of the study area and topographic map of sloping farmland

1.2 样品采集与测定

土壤样品于2019年5月(播种前)采集。为获取较好的代表值,137Cs分析通常沿剖面线采样。直型坡、凹型坡和凹—直复合型坡分别沿坡长纵剖面每隔30 m取样,采样深度30 cm,采样长度1020 m,每个坡面采集样点34个。Zhang等[29]通过大量试验统计分析确定,当采样点距0.75~5 m的土样具有独立性,5个以上独立土样组成的混合样可以代表采样点属性,且采样器直径在38~86 mm时采集直径对其代表性没有影响。故本文利用直径50 mm土钻垂直于水平面钻入坡面采集土壤样品。为平滑相邻土壤剖面间137Cs的分异现象,减小取样误差,在各采样点设置两个边长为1 m的三角形,分别收集三角形顶点共6个土样形成混合样代表该采样点。因研究坡面附近无未扰动地块,附近林带营造时间晚于137Cs集中释放期,故背景值在克山县城北30 km处的涌泉林场采集。共取 7个土壤样品,每个样品分三层采集,每层深度10 cm。
土样带回实验室风干后,筛除植物根系、碎石等,待其磨碎混合均匀后,过60目筛,称取300 g样品待测。使用美国ORTEC公司生产的数字化高纯锗8192道γ能谱仪对137Cs比活度测定,以谱峰全面积值为661.6 keV进行求算,样品测量时间28800s,仪器重复测量误差确保在95%置信水平下≤6%。
鉴于样地空间位置相邻,种植历史一致,土层厚度无明显差异,采用重铬酸钾容量法测定有机碳含量,作为耕地土壤质量衡量指标。

1.3 数据分析及计算方法

1.3.1 转换模型

应用质量平衡模型(MBM2)估算水土流失的长期速率,该模型包括随时间变化的沉降物输入,以及新沉积的沉降物在通过耕作进入犁层之前的去向。该转换模型的数学背景已由Walling等[30,31]详细阐述,并成功在东北黑土区运用[32,33],其表达形式如下:
d A t d t = 1 - Γ I t - λ + P + R d m A t
式中:A(t) 为单位面积土壤137Cs含量(Bq·m-2);I(t) 为t年的137Cs沉降通量(Bq·m-2·a-1);R为土壤侵蚀速率(kg·m-2·a-1);λ137Cs的衰变常数;P为土壤粒径校正系数;dm为累积质量深度(g·cm-2),代表了平均的犁耕层深度;Γ表示新沉降的137Cs在与犁耕层混合之前受侵蚀损失掉的比值。
Γ=(1-e-R/H)
式中:γ指耕作活动之前耕作土壤上的137Cs年沉降量易受侵蚀的比值;H表示137Cs沉降在整个土壤剖面初始分布的质量深度(kg·m-2)。

1.3.2 克里格插值

使用Kriging插值法对采样点每隔10 m进行插值,得到100个“坡长—137Cs含量”序列,在保证目标变量预测精度和空间结构性前提下为坡面尺度137Cs含量沿坡长分布研究提供更多的信息。

1.3.3 小波分析

小波分析是通过一组小波函数来代替某种信号,本文采用morlet小波进行周期性分析。小波函数 φ a , b t为:
φ a , b t = | a | - 1 / 2 φ t - b a , : a , b R , a 0
小波变换是以式(3)为积分核的积分变换(即对函数进行伸缩和平移所得到的一组函数簇):
W f a , b = W φ - f a , b = W f a , b = - + f t φ - a , b t d t = - + f t 1 a φ - t - b a d t a > 0 , f L 2 R
将一维函数 f x变换成 W f a , b二维函数,其中 a是尺度参数、 b是平移量。a控制小波函数的伸缩,b控制小波函数的平移。当伸缩、平移(本质是两个正交基的分解)基函数不断和信号做相乘,计算信号和小波基函数的相关性,得到的相关性系数即为小波系数,根据小波系数的变化趋势来分析判断信号变化频率。
小波方差是在小波系数的基础上计算其平方和的均值,在某尺度下信号和小波基函数相关度高,在频谱上这个频率会出现1个峰,根据小波方差可以确定序列中不同尺度扰动的相对强度,其最大峰值周期震荡最强,为序列第一主周期。
V a r a = - + | W f a , b | 2 d b
本文以土壤137Cs含量组成信号 f x,通过morlet基函数不断和信号相乘,确定信号中不同尺度土壤再分布周期震荡的相对强度,找到其最大峰值,即第一主周期;再对该第一主周期下的频域进行分析,得到主周期下137Cs含量在坡长上的分布频率及趋势;从而确定土壤侵蚀变化过程的周期性规律。

2 结果分析

2.1 采样点137Cs含量

137Cs背景值在2173~2684 Bq·m-2之间变化,变异系数为9%,均值为2489.1 Bq·m-2。与已有研究[11,22-24,34]确定的137Cs背景值2376.81~2500 Bq·m-2非常接近,因此本文背景值取2489.1 Bq·m-2。坡耕地坡面各样点137Cs面积活度介于448.8~1765.5 Bq·m-2之间,均低于区域背景值,说明土壤再分布过程以土壤侵蚀为主。直型坡137Cs面积活度最小值和最大值分别为821.7 Bq·m-2和1514.7 Bq·m-2,凹型坡和复合型坡137Cs面积活度介于448.8~1201.2 Bq·m-2和669.9~1765.5 Bq·m-2之间,变异系数分别为14%、21%和22%(表1)。与背景值相比,坡耕地坡面137Cs面积活度波动范围更大,坡耕地土壤137Cs随土壤颗粒的再分布现象更加显著,且在不同坡形的长缓坡耕地坡面上存在差异,坡面土壤遭受了不同程度的流失。
表1 采样点137Cs面积活度

Table 1 Inventories of 137Cs at sampling points

采样地点 样点数/个 面积活度/(Bq·m-2) 变异系数
/%
最大值 最小值 平均值
直型坡 34 1514.7b 821.7a 1242.6 ±186.2a 14
凹型坡 34 1201.2c 448.8c 901.5 ±192.3c 21
复合型坡 34 1765.5a 669.9b 1028.5 ±233.0b 22

注:同列不同字母表示显著性差异(P≤0.01)。

不同坡形坡面137Cs面积活度总体上表现出直型坡>复合型坡>凹型坡,且凹型坡137Cs面积活度波状起伏变化更明显,凹型坡坡度整体上大于直型坡和复合型坡(图2),坡度越陡,径流输沙能力越大,侵蚀力越大,引起细沟侵蚀的可能性越大,坡面侵蚀量越大[35,36]。尤其是前600 m到达最凹点之前,相同坡长范围内其地势起伏较大,径流和土壤运动更为复杂,导致径流具有不同的实际挟沙能力。随着坡度的增加,入渗强度降低,入渗量减少,产流时间提前,而径流量增大,径流位能增大,径流流速增大,水流具有的能量增大,径流冲刷力增强,径流实际挟沙率增强,侵蚀能力增强,坡面侵蚀量增大。到达最凹点之前,凹型坡坡面坡度大流速大,坡面侵蚀动力也大,侵蚀产沙量增大;到达最凹点之后,可能会出现径流淤积等情况,加剧坡面侵蚀的波动性。
图2 坡面高程、坡度、137Cs面积活度沿坡长变化规律

Fig. 2 Variation of elevation, slope gradient and 137Cs content and along slopes length

2.2 土壤侵蚀沿坡长的变化特征

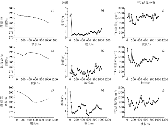
直型坡在侵蚀强度演变过程中存在18~30、32~64坡长尺度的周期变化规律(图3a)。其中,32~64坡长尺度的周期变化具有全域性,而18~30坡长尺度的周期变化在前500 m表现的较为稳定。在32~64坡长尺度上出现了三次较强能量集中中心,为侵蚀最强中心,分别对应坡长110 m、490 m和870 m;两次侵蚀最弱中心,分别在坡长300 m和680 m;存在两个完整的强—弱交替变化,其波动周期为380 m。在18~30坡长尺度上存在四次侵蚀最弱中心,分别在80 m、240 m、390 m和470 m;四次侵蚀最强中心,分别在10 m、160 m、300 m和420 m;存在四次完整的侵蚀强—弱交替变化,周期在150 m左右。王禹等[11]在500 m直型坡耕地坡面发现侵蚀的强—弱变化呈现一致的规律性波动,存在着坡长为142 m的振荡周期;王磊等[37]认为由于多营力复合侵蚀交互作用使320 m黑土坡面年土壤侵蚀速率沿坡长存在167~203 m的强—弱交替变化的规律。这与本文坡面前500 m在18~30坡长尺度存在周期150 m左右的侵蚀强—弱交替周期一致。
图3 小波系数实部等值线图

Fig. 3 Contour of the real part of wavelet coefficients

总体来说,凹型坡侵蚀强度演变过程中存在着10~27、30~54坡长尺度的周期变化规律(图3b)。其中,在30~54坡长尺度上出现了四次侵蚀最强中心,分别对应坡长 120 m、370 m、640 m和940 m;四次侵蚀最弱中心,分别在坡长0 m、250 m、500 m和780 m,波动周期为250 m。在10~27坡长尺度上,前500 m存在四次侵蚀强—弱交替变化趋势,存在140 m左右波动周期。而后500 m存在七个侵蚀最强中心,分别在坡长520 m、600 m、680 m、750 m、820 m、900 m和980 m;七个侵蚀最弱中心,分别在坡长560 m、640 m、710 m、790 m、860 m、940 m和1020 m;存在四个完整的侵蚀强—弱交替变化,以80 m为波动周期。30~54坡长尺度250 m的周期变化非常稳定,具有全域性。与直型坡相比,坡面全域侵蚀规律存在差异,但前500 m侵蚀强弱空间分布规律基本相同,这是因为凹型坡最凹点出现在600 m,到达凹点之前亦为直型坡。
复合型坡在侵蚀强弱演变过程中存在22~54坡长尺度的周期变化规律(图3c)。在整个坡长尺度具有全域性,出现强—弱—次强—次弱—次强—次弱—强波动侵蚀规律,其中两次完整次强—次弱交替变化中侵蚀次强中心分别对应坡长390 m、690 m;次弱中心分别对应坡长550 m、850 m,存在300 m坡长周期。一次强弱交替变化周期,出现在坡面前300 m。与直型坡和凹型坡不同的是复合型坡未表现出明显的次周期,侵蚀强度介于直型坡和凹型坡两者之间。
为进一步说明侵蚀规律,对其坡面小波方差图进行数学分析(图4)。直型坡存在 4个较为明显的峰值,它们依次对应着14、24、44和56坡长尺度。其中,最大峰值对应的坡长尺度为56,说明在56坡长尺度左右的周期震荡最强,为侵蚀强度变化的第一主周期。在44坡长尺度对应着第二峰值,为侵蚀强度变化的第二主周期;第三、第四峰值分别对应着14和24的坡长尺度,它们依次为侵蚀强度的第三和第四主周期。上述4个周期的波动控制着土壤侵蚀在整个坡长域内的变化特征。凹型坡小波方差图在21、43坡长尺度上出现2个峰值。43坡长尺度上峰值最大,为第一主周期;21坡长尺度为侵蚀强度变化的第二主周期;复合型坡小波方差图存在一个峰值,对应42坡长尺度,为侵蚀强度变化的第一主周期,其周期波动控制整个坡面的侵蚀强弱变化特征。
图4 小波方差图

Fig. 4 Wavelet variance graph

根据小波方差检验结果,绘制坡面土壤侵蚀强度第一主周期小波系数图(图5)。发现直型坡侵蚀强度变化的平均周期为380 m左右,凹型坡侵蚀强度变化的平均周期为250 m左右,复合型坡侵蚀强度变化的平均周期为300 m。复合型坡(300 m)波动周期介于直型坡(380 m)和凹型坡(250 m)中间。凹—直复合型坡坡面前段为凹型坡,后段为直型坡;凹型坡段坡面坡度差导致径流流速增加,从而对坡面的剥蚀能力增加,当达到坡面转折处时,水流通畅,流态转变,其侵蚀方式又与直型坡相似。凹型坡侵蚀强弱交替周期最短主要因为凹型坡坡度变化明显大于直型坡和复合型坡,坡面相对复杂,会增加其能量损耗,土壤搬运方式更加复杂,导致其侵蚀周期短但震荡次数更多。但总体来说,三种坡形土壤侵蚀强度沿坡长都存在300 m左右的侵蚀波动规律。东北黑土区长缓坡侵蚀—沉积空间分布特征明显,不同坡形坡面侵蚀—沉积空间分布规律也不尽相同。
图5 小波系数图

Fig. 5 Wavelet coefficient graph

东北黑土区坡耕地侵蚀周期存在一般规律(表2),但具体的侵蚀周期大小与坡长有较大关系。短坡坡面土壤侵蚀强度沿坡长呈先增后减的变化趋势;长坡坡面土壤侵蚀强度呈明显的强弱交替变化特征,坡面侵蚀强度具有不均一性,泥沙在坡面的侵蚀、搬运、沉积和输移过程具有强弱交替的空间变化特征。
表2 东北黑土区坡耕地侵蚀规律研究

Table 2 Study on erosion law of slope farmland in black soil area of Northeast China

取样地点 坡形(坡长/m) 波动趋势 资料来源
克山县粮食沟坡面自然观测场 直型坡(320) 侵蚀强—弱变化
沿坡长存在167~203 m的强弱交替变化规律
Lei等[37]
克山县发展乡坡耕地 直型坡(140) 存在坡长45 m周期性变化规律 王小康等[28]
宾县东山沟小流域坡耕地 凸形坡(600) 侵蚀强—弱—较强—沉积弱—沉积变化 杨维鸽等[12]
复合型坡(210) 侵蚀弱—强—弱—较强—沉积强变化
克山农场坡耕地 直型坡(500) 侵蚀“增加—减少”互相交替的趋势
存在坡长142 m强弱交替发生的“振荡周期”
王禹等[11]
东北黑土长缓坡在长期复合侵蚀过程中泥沙沿坡面输移的周期性变化,其波动性主要是与水流挟沙的波动及径流侵蚀力的自动调整有关。在降雨和融雪过程中,坡面径流沿坡面自上而下流动,当达到土壤侵蚀发生的临界条件时,土壤侵蚀开始发生;随着输沙率增大,径流紊动性下降、阻力增大、流速降低,当坡面径流含沙量渐趋饱和时,挟沙力下降,导致部分径流泥沙发生淤积;随着坡长进一步增大,释放部分侵蚀泥沙后,挟沙力再次大于输沙率,土壤分离速率随即增大,土壤侵蚀强度再次增强。如此往复,土壤侵蚀强度沿坡长呈强弱交替分布,坡面越长这种波动变化越明显。在长期天然降雨、融雪的影响下坡面泥沙迁移呈现出周期性变化,周而复始,在整个坡面形成侵蚀—沉积的周期性变化规律。
此外,年均降雨侵蚀力本身存在波动性周期性变化[38],对比多年的降雨资料发现,短历时强降雨类型引起的坡面土壤侵蚀最为严重,暴雨条件下坡面产沙强度呈波动型[39],次降雨过程中降雨强度和能量的波动变化及强弱次序对坡面土壤侵蚀产生影响,而研究区侵蚀主要是由短历时、高强度暴雨导致的,坡面侵蚀强度出现波动有其必然性[40-42]

2.3 坡面土壤侵蚀特征

采用MBM2方法对不同坡形耕地坡面进行分析[43,44],该模型需要耕作年限、犁深 d(kg·m2)、松弛质量深度H等信息。以下参数被用来代表本调查的当地条件:1956年耕作,确定犁深为d=330 kg·m2;松弛质量深度设置为默认值:H=4 kg·m2;P为土壤粒径校正系数:P=1.2;γ是指耕作活动之前耕作土壤上的137Cs年沉降量易受侵蚀的比例,γ=0.2。利用上述模型计算直型坡、复合型坡、凹型坡的多年平均速率分别为 3040 t·km-2·a-1、3395 t·km-2·a-1和4220 t·km-2·a-1
据水利部颁发的《土壤侵蚀分类分级标准》(SL190-2007),研究范围内土壤侵蚀强度均属于中度侵蚀,远大于黑土区土壤容许流失量标准,平均侵蚀速率达到黑土区允许土壤流失量的15~20倍。在采样坡面范围内,全坡面均以土壤侵蚀为主要过程(表3)。
表3 137Cs测量土壤再分配评估

Table 3 Evaluation of 137Cs measurement of soil redistribution

侵蚀点数量/个 沉积点数量/个 侵蚀速率/(t·km-2·a-1) 输沙率/%
平均值 最大值 最小值
直型坡 34 0 3040±152 4710 2070 100
凹型坡 34 0 4220±210 7240 2350 100
复合型坡 34 0 3395±202 5090 1220 100
与我国其他水蚀类型区相比,水力驱动力是坡面侵蚀的主要外营力,雨滴打击是东北黑土区坡面土壤侵蚀的基本驱动力,融雪和降雨引起的坡面水蚀、壤中流是加剧黑土坡面侵蚀强度的主要驱动因子。降雨和汇流作用明显,加之顺坡垄作整地时普遍采用的重型液压翻转铧式犁,作业深度大、速度快,对土壤扰动剧烈,产生的耕作位移量和侵蚀速率高,且机械耕作形成的垄—沟系统为径流提供了天然通道,导致坡耕地土壤再分配作用,致使黑土区坡面侵蚀具有复杂性和特殊性[45]。研究坡面下方为排水河道,在坡沟系统中存在着泥沙的存贮—释放机制。高含沙水流发生时期,坡下沉积的粗粒泥沙将被高含沙水流强烈的侵蚀作用搬运而发生释放,流入河道,使得137Cs以流失为主[46,47]

2.4 土壤侵蚀—沉积对土壤有机碳分布的影响

坡面土壤有机碳含量SOC的均值为46.58 g·kg-1,变化范围在26.76~68.09 g·kg-1。SOC含量在不同坡形的含量差异性显著(P≤0.01),各坡形SOC含量主要表现为:凹型坡<复合型坡<直型坡,直型坡SOC含量为复合型和凹型的1.04和1.11倍。这与基于137Cs示踪不同坡形坡面所得土壤侵蚀速率特征相对应,表现为土壤侵蚀速率最大的凹型坡土壤有机碳含量最低,土壤侵蚀速率最小的直型坡,平均含量最高,复合型坡侵蚀强度和SOC含量均处于二者之间。沿坡长变化方面,土壤有机碳含量总体上呈现高—低—高的变化趋势,与土壤侵蚀速率沿坡长变化的规律恰恰相反,土壤侵蚀速率较大部位对应的SOC含量较低,反之亦然(图6)。坡面SOC沿坡面分布趋势与土壤侵蚀强度坡面分布的变化趋势相反,反映了坡面土壤侵蚀强度空间分布对土壤养分分布的直接影响。分析其原因,土壤有机碳主要是以有机无机体紧密结合的方式存在于土壤团粒体中,并主要伴随土壤颗粒发生迁移转化[48]。研究坡面土壤以侵蚀—搬运过程为主,土壤的侵蚀—搬运过程也是SOC的搬运过程,富集于土壤表面的SOC容易随着表层土壤的迁移而流失。这导致耕地表层肥沃土壤颗粒大量流失,黑土层变薄,土壤养分通过径流泥沙携带发生流失,耕地留存含量减少,造成土壤“贫化”,最终必然导致耕地质量下降。
图6 土壤SOC与土壤侵蚀速率沿坡长分布特征

Fig. 6 Distribution characteristics of soil SOC and soil erosion rate along slopes length

3 结论

通过采集东北黑土区典型长缓坡耕地直型坡、凹型坡和凹—直复合型坡坡面土样,利用137Cs示踪技术估算坡耕地土壤侵蚀速率,分析土壤有机碳含量分布,结合小波理论定量分析土壤侵蚀强度随坡长的变化规律,明确坡面土壤有机碳空间分布与土壤侵蚀速率空间分布的响应关系,得出以下结论:
(1)137Cs含量沿坡长强弱交替变化特征明显,复合型坡(22%)、凹型坡(21%)变异性明显大于直型坡(14%)。直型坡、复合型坡和凹型坡多年平均土壤侵蚀速率分别为3040 t·km-2·a-1、3395 t·km-2·a-1和4220 t·km-2·a-1
(2)黑土长缓坡耕地沿坡长方向存在土壤侵蚀模数由递增过渡为减少的长300 m左右的土壤侵蚀强—弱变化周期。其中,直型坡存在坡长为380 m的周期变化规律,凹型坡存在坡长为250 m的周期变化规律,凹—直复合型坡存在坡长为300 m的周期变化规律。
(3)坡耕地土壤有机碳含量空间分布特征受土壤侵蚀影响明显,与土壤侵蚀速率呈极显著负相关,沿坡长变化规律与土壤侵蚀速率相反,土壤侵蚀是造成耕地土壤质量退化的直接驱动因子。
[1]
水利部, 中国科学院, 中国工程院. 中国水土流失与生态安全:东北黑土卷. 北京: 科学出版社, 2010.

[Ministry of Water Resources, Chinese Academy of Sciences, Chinese Academy of Engineering. Soil Erosion Control and Ecological Security in China Black Soil Region of Northeast China Volume. Beijing: Science Press, 2010.]

[2]
XIE Y, LIN H H, YE Y, et al. Changes in soil erosion in cropland in Northeastern China over the Past 300 Years. Catena, 2019, 176: 410-418.

DOI

[3]
金平华, 濮励杰, 王金磊, 等. 137Cs法用于典型流域土壤侵蚀的初步研究: 以太湖流域上游西苕溪流域为例. 自然资源学报, 2004, 19(1): 47-54.

[JIN P H, PU L J, WANG J L, et al. Preliminary study on using 137Cs tracter method to estimate soil erosion of typical area: A case study on Xitiaoxi drainage area at up stream of Taihu Lack Basin. Journal of Natural Resources, 2004, 19(1): 47-54.]

[4]
SHEN H O, ZHENG F L, WEN L L, et al. Impacts of rain-fall intensity and slope gradient on rill erosion processes at loessial hillslope. Soil and Tillage Research, 2016, 155: 429-436.

DOI

[5]
付兴涛, 张丽萍, 叶碎高. 经济林地坡长对侵蚀产沙动态过程影响的模拟. 水土保持学报, 2010, 24(4): 73-77.

[FU X T, ZHANG L P, YE S G. Simulation of effect of slope length on dynamic process of erosion sediment yield in economic forest. Journal of Soil and Water Conservation, 2010, 24(4): 73-77.]

[6]
刘冉, 余新晓, 蔡强国, 等. 坡长对坡面侵蚀、搬运、沉积过程影响的研究进展. 中国水土保持科学, 2020, 18(6): 140-146.

[LIU R, YU X X, CAI Q G, et al. Research progress in the effect of slope length on slope erosion, ransportation and deposition processes. Science of Soil and Water Conservation, 2020, 18(6): 140-146.]

[7]
GOVERS G. A field study on topographical and topsoil effects on runoff generation. Catena, 1991, 18(1): 91-111.

DOI

[8]
BRYAN R B, POESEN J. Laboratory experiments on the influence of slope length on runoff, percolation and rill development. Earth Surface Processes and Landforms, 1989, 14(3): 211-231.

DOI

[9]
魏天兴, 朱金兆. 黄土残塬沟壑区坡度和坡长对土壤侵蚀的影响分析. 北京林业大学学报, 2002, 24(1): 59-62.

[WEI T X, ZHU J Z. Effects of slope length and grade on soil erosion in the gully regions in Loess Plateau. Journal of Beijing Forestry University, 2002, 24(1): 59-62.]

[10]
王颢霖, 焦菊英, 唐柄哲, 等. 陕北子洲“7·26”暴雨后坡耕地细沟侵蚀及其影响因素分析. 农业工程学报, 2019, 35(11): 122-130.

[WANG H L, JIAO J Y, TANG B Z, et al. Characteristics of rill erosion and its influencing factors in slope farmland after "7·26" rainstorm in Zizhou county, Shaanxi province. Transactions of the CSAE, 2019, 35(11): 122-130.]

[11]
王禹, 杨明义, 刘普灵. 典型黑土直型坡耕地土壤侵蚀强度的小波分析. 核农学报, 2010, 24(4): 790-795.

DOI

[WANG Y, YANG M Y, LIU P L. Contribution partition of water and wind erosion on cultivated slopes in Northeast black soil region of China. Journal of Nuclear Agricultural Sciences, 2010, 24(4): 790-795.]

[12]
杨维鸽, 郑粉莉, 王占礼, 等. 地形对黑土区典型坡面侵蚀—沉积空间分布特征的影响. 土壤学报, 2016, 53(3): 572-581.

[YANG W G, ZHENG F L, WANG Z L, et al. Effects of topography on spatial distribution of soil erosion and deposition on hillslope in the typical of black soil region. Acta Pedologica Sinica, 2016, 53(3): 572-581.]

[13]
李骜, 段兴武. 利用黑土层厚度评价东北黑土区土壤生产力: 以鹤北小流域为例. 水土保持通报, 2014, 34(1): 154-159.

[LI A, DUAN X W. Productivity assessment for black soil region in Northeastern China using black soil thickness: A case study of Hebei Watershed. Bulletin of Soil and Water Conservation, 2014, 34(1): 154-159.]

[14]
GRANATSTEIN D, BEZDICEK D F. The need for a soil quality index: Local and regional perspectives. American Journal of Altnative Agriculture, 1992, 7(1-2): 12-16.

[15]
RASMUSSEN P E, COLLINS H P. Long term impacts of tillage, fertilizer, and crop residue on soil organic matter in temperate semiarid regions. Advances in Agronomy, 1991, 45: 93-134.

[16]
KONONOVA M M. Soil Organic Matter:Its Nature, its Role in Soil Formation and in Soil Fertility. London: Pergamon Press, 1964: 5-20.

[17]
SCHARLEMANN J P, TA NNER E V, HIEDERER R, et al. Global soil carbon: Understanding and managing the largest terrestrial carbon pool. Carbon Manage, 2014, 5(1): 81 - 91.

DOI

[18]
FOLLETT R F, STEWART C E, PRUESSNER E G. Great plainsclimate and land-use effects on soil organic carbon. Soil Science Society of America Journal, 2015, 79(1): 261-271.

DOI

[19]
QUINTON J N, CATT J A, WOOD G A, et al. Soil carbon losses by water erosion: Experimentation and modeling at field and national scales in the UK. Agriculture, Ecosystems & Environment, 2006, 112(1): 87-102.

DOI

[20]
SMITH S V, RENWICK W H, BUDDEMEIER R W, et al. Budgets of soil erosion and deposition for sediments and sedimentary organic carbon across the conterminous United States. Global Biogeochemical Cycles, 2001, 15(3): 697-707.

DOI

[21]
翟星雨. 典型黑土坡面农田有机质和全氮的时空分布研究. 哈尔滨: 东北农业大学, 2019.

[ZHAI X Y. Spatial and temporal distribution of organic matter and total nitrogen in farmland on typical black soil slopes. Harbin: Northeast Agricultural University, 2019.]

[22]
方华军, 杨学明, 张晓平, 等. 137Cs示踪技术研究坡耕地黑土侵蚀和沉积特征. 生态学报, 2005, 25(6): 1376-1382.

[FANG H J, YANG X M, ZHANG X P, et al. Study on soil erosion and deposition of black soils on a sloping cultivated land using 137Cs tracer method. Acta Ecologica Sinica, 2005, 25(6): 1376-1382.]

[23]
FANG H J, CHENG S L, ZHANG X P, et al. Impact of soil redistribution in a sloping landscape on carbon sequestration in Northeast China. Land Degradation & Development, 2006, 17(1): 89-96.

DOI

[24]
方华军, 杨学明, 张晓平, 等. 利用137Cs 技术研究黑土坡耕地土壤再分布特征. 应用生态学报, 2005, 16(3): 464-468

[FANG H J, YANG X M, ZHANG X P, et al. Redistribution patterns of black soil in hillslope landform of Northeast China: A 137Cs study. Chinese Journal of Applied Ecology, 2005, 16(3): 464-468.]

[25]
何彦星, 张风宝, 杨明义. 137Cs示踪分析东北黑土坡耕地土壤侵蚀对有机碳组分的影响. 农业工程学报, 2021, 37(14): 60-68.

[HE Y X, ZHANG F B, YANG M Y. Effects of soil erosion on organic carbon fractions in black soils in sloping farmland of Northeast China by using 137Cs tracer measurements. Transactions of the CSAE, 2021, 37(14): 60-68.]

[26]
DERCON G, MABIT L, HANCOCK G, et al. Fallout radionuclide-based techniques for assessing the impact of soil conservation measures on erosion control and soil quality: An overview of the main lessons learnt under an FAO/IAEA coordinated research project. Journal of Environmental Radioactivity, 2012, 107: 78-85.

DOI

[27]
GASPAR L A, NAVAS D E, WALLING J. Using 137Cs and 210Pbex to assess soil redistribution on slopes at different temporal scales. CATENA, 2013, 102: 46-54.

DOI

[28]
王小康, 谷举, 刘刚, 等. 横、顺坡垄作对黑土坡面侵蚀—沉积周期规律的影响. 土壤学报, 2022, 59(2): 430-439.

[WANG X K, GU J, LIU G, et al. The influence of transverse and longitudinal ridge tillage on soil erosion and deposition cycles for mollisol slope. Acta Pedologica Sinica, 2022, 59(2): 430-439.]

[29]
ZHANG X C, POLYAKOV V O, LIU B Y, et al. Quantifying geostatistical properties of 137Cs and 210Pbex at small scales for improving sampling design and soil erosion estimation. Geoderma, 2019, 334: 155-164.

DOI

[30]
WALLING D E, HE Q, APPLEBY P G. Conversion models for use in soil-erosion, soil-redistribution and sedimentation investigations. In: ZAPATA F. (Ed.), Handbook for the Assessment of Soil Erosion and Sedimentation using Environmental Radionuclides. Amsterdam: Kluwer, 2002: 111-164.

[31]
WALLING D E, HE Q, ZHANG Y. Conversion models and related software. In: Guidelines for Using Fallout Radionuclides to Assess Erosion and Effectiveness of Soil Conservation Strategies. IAEA-TECDOC-1741. Vienna: IAEA Publication, 2014: 125-148.

[32]
FANG H Y, LI Q, SUN L, et al. Using 137Cs to study spatial patterns of soil erosion and soil organic carbon (SOC) in an agricultural catchment of the typical black soil region, Northeast China. Journal of Environmental Radioactivity, 2012, 112: 125-132.

DOI

[33]
AN J, ZHENG F, WANG B. Using 137Cs technique to investigate the spatial distribution of erosion and deposition regimes for a small catchment in the black soil region, Northeast China. Catena, 2004, 123: 243-251.

DOI

[34]
阎百兴, 汤洁. 黑土侵蚀速率及其对土壤质量的影响. 地理研究, 2005, 24(4): 499-506.

[YAN B X, TANG J, Study on black soil erosion rate and the transformation of soil quality influenced by erosion. Geographical Research, 2005, 24(4): 499-506.]

[35]
FOX D M, BRYAN R B. The relationship of soil loss by interrill erosion to slope gradient. Catena, 2000, 38(3): 211-222.

DOI

[36]
ZHANG G H, LIU Y M, HAN Y F, et al. Sediment transport and soil detachment on steep slopes: I. Transport capacity estimation. Soil Science Society of America Journal, 2009, 73(4): 1291-1297.

DOI

[37]
WANG L, ZHENG F, LIU G, et al. Seasonal changes of soil erosion and its spatial distribution on a long gentle hillslope in the Chinese Mollisol region. International Soil and Water Conservation Research, 2021, 9(3): 394-404.

DOI

[38]
钟科元, 郑粉莉. 1960—2014年松花江流域降雨侵蚀力时空变化研究. 自然资源学报, 2017, 32(2): 78-291.

[ZHONG K Y, ZHENG F L. Spatial and temporal variation characteristics of rainfall erosivity in the Songhua River Basin from 1960 to 2014. Journal of Natural Resources, 2017, 32(2): 78-291.]

[39]
武春龙, 刘普灵, 郑世清, 等. 坡面土壤侵蚀垂直分布定量分析研究. 水土保持研究, 1997, 4(2): 34-40.

[WU C L, LIU P L, ZHENG S Q, et al. Study on vertical distribution of soil erosion on loess slope. Research of Soil and Water Conservation, 1997, 4(2): 34-40.]

[40]
张宪奎, 许靖华, 卢秀琴, 等. 黑龙江省土壤流失方程的研究. 水土保持通报, 1992, 12(4): 1-9.

[ZHANG X K, XU J H, LU X Q, et al. A study on the soil loss equation in Heilongjiang provice. Bulletin of Soil and Water Conservation, 1992, 12(4): 1-9.]

[41]
WEI W, CHEN L, FU B, et al. The effect of land uses and rainfall regimes on runoff and soil erosion in the semi-arid Loess Hilly area, China. Journal of Hydrology, 2006, 335(3-4): 247-258.

DOI

[42]
郑粉莉, 边锋, 卢嘉, 等. 雨型对东北典型黑土区顺坡垄作坡面土壤侵蚀的影响. 农业机械学报, 2016, 45(2): 90-97.

[ZHENG F L, BIAN F, LU J, et al. Effects of Rainfall patterns on hillslope erosion with longitudinal ridge in typical black soil region of Northeast China. Transactions of the CSAM, 2016, 45(2): 90-97.]

[43]
WALLING D E, HE Q. Improved models for estimating soil erosion rates from Cesium-137 measurements. Journal of Environmental Quality, 1999, 28(2): 611-622.

[44]
WALLING D E, HE Q. Using fallout Lead210 measurements to estimate soil erosion on cultivated land. Soil Science Society of America Journal, 1999, 63(5): 1404-1412.

DOI

[45]
WANG L, ZHENG F L, ZHANG X C, et al. Discrimination of soil losses between ridge and furrow in longitudinal ridge-tillage under simulated upslope inflow and rainfall. Soil and Tillage Research, 2020, 198: 104541, Doi: 10.1016/j.still.2019.104541.

DOI

[46]
许炯心. 黄土高原丘陵沟壑区坡面—沟道系统中的高含沙水流(Ⅱ). 自然灾害学报, 2004, 13(2): 25-31.

[XU J X. Hyperconcentrated flows in slope-channel systems of gullied hilly area in the Loess Plateau (Ⅱ), influences of sediment storage-release rainfall and runoff. Journal of Natural Disasters, 2004, 13(2): 25-31.]

[47]
GATTO L W. Soil freeze-thaw-induced changes to a simulated rill: Potential impacts on soil erosion. Geomorphology, 2000, 32(1-2): 147-160.

DOI

[48]
NELSON D W. Total carbon and organic matter. Chemical & Microbiological Properties, 1982, 9: 539-579.

文章导航

/