其他研究论文

植被恢复背景下黄河中游及6个典型流域蒸散发及其组分变化格局

  • 杨泽龙 , 1 ,
  • 李艳忠 1 ,
  • 梁康 2 ,
  • 星寅聪 1 ,
  • 李超凡 , 3 ,
  • 马燮铫 1 ,
  • 韩越 1
展开
  • 1.南京信息工程大学水文与水资源工程学院,南京 210044
  • 2.中国科学院地理科学与资源研究所陆地水循环及地表过程重点实验室,北京 100101
  • 3.南京信息工程大学地理科学学院,南京 210044
李超凡(1987- ),男,山东临沂人,博士,讲师,主要从事水热平衡以及3S技术应用研究。E-mail:

杨泽龙(2000- ),男,河北沧州人,硕士,主要从事水文气象研究。E-mail:

收稿日期: 2021-02-18

  修回日期: 2021-04-29

  网络出版日期: 2022-05-28

基金资助

国家自然科学基金项目(41971035)

国家自然科学基金项目(41877158)

国家自然科学基金项目(41701019)

2021年江苏省高等学校大学生创新创业训练计划项目(202110300100Y)

版权

版权所有,未经授权,不得转载、摘编本刊文章,不得使用本刊的版式设计。

Variation patterns of evapotranspiration and its components in the Middle Yellow River and six typical basins under the background of vegetation restoration

  • YANG Ze-long , 1 ,
  • LI Yan-zhong 1 ,
  • LIANG Kang 2 ,
  • XING Yin-cong 1 ,
  • LI Chao-fan , 3 ,
  • MA Xie-yao 1 ,
  • HAN Yue 1
Expand
  • 1. School of Hydrology and Water Resources, Nanjing University of Information Science and Technology, Nanjing 210044, China
  • 2. Key Laboratory of Water Cycle and Related Land Surface Processes, Institute of Geographic Sciences and Natural Resources Research, CAS, Beijing 100101, China
  • 3. School of Geographical Sciences, Nanjing University of Information Science and Technology, Nanjing 210044, China

Received date: 2021-02-18

  Revised date: 2021-04-29

  Online published: 2022-05-28

Copyright

Copyright reserved © 2022.

摘要

植被变化可通过改变下垫面条件的方式,调节植被蒸腾与土壤蒸发的分配比例,进而影响区域乃至全球水循环过程。自20世纪90年代以来,我国开展了大规模的植被恢复工程,全国植被覆盖度得到了极大提高,其中尤以黄河中游最为显著。以黄河中游6个典型植被恢复流域为研究对象,利用PML_V2模型和水文气象数据,验证了该模型模拟植被快速变化环境下的蒸散性能,并分析了2003—2018年间植被恢复工程背景下,黄河中游蒸散发(ET)及其组分(植被蒸腾Ec,截留蒸发Ei,土壤蒸发Es)的时空变化格局。结果表明:(1)对比流域水量平衡ET与PML模型结果,发现该模型在黄河中游具有较好的适用性(NSE >0.6)。(2)EcET的分布格局起着主导作用,蒸散发及其组分的空间格局由夏季风作用下的植被空间分布所控制。EcET的空间分布格局较为相似,Es与其相反。ETEcEi均呈显著增加趋势,Es则呈显著减小趋势,尤以流域中下游最为明显。(3)植被恢复背景下,黄河中游典型流域的蒸散发及其组分发生了明显的变化。相较于所在流域,流域中植被恢复区ETEcEsEi分别偏高2.20%、5.86%、0.86%、7.44%,速率分别偏高-0.51 mm/a、0.55 mm/a、-1.11 mm/a、0.05 mm/a。

本文引用格式

杨泽龙 , 李艳忠 , 梁康 , 星寅聪 , 李超凡 , 马燮铫 , 韩越 . 植被恢复背景下黄河中游及6个典型流域蒸散发及其组分变化格局[J]. 自然资源学报, 2022 , 37(3) : 816 -828 . DOI: 10.31497/zrzyxb.20220317

Abstract

By changing the underlying surface conditions, vegetation change can regulate the distribution ratio of vegetation transpiration to soil evaporation, and then change the regional and even global water cycle process, and have a profound impact on the sustainable development and utilization of water resources. Since the 1990s, China has carried out a large-scale vegetation restoration project, which has greatly increased the vegetation coverage, especially in the middle reaches of the Yellow River. In this paper, six typical vegetation restoration watersheds in the middle reaches of the Yellow River Basin as the research object, using meteorological and hydrological data, verify the performance of the PML_V2 model, and analyze in the vegetation restoration project background, from 2003 to 2018, the evapotranspiration in the middle reaches of the Yellow River (ET) and its components (Ec vegetation transpiration, Ei intercept evaporation, Es soil evaporation) change pattern of space and time. (1) By comparing the results of ET and PML models, it is found that this model has good applicability in the middle reaches of the Yellow River (NSE >0.6). (2) Ec plays a leading role in the distribution pattern of ET, which is controlled by the spatial distribution of vegetation under the action of summer monsoon. The spatial distribution pattern of Ec and ET is similar, while that of Es is opposite. ET, Ec, Ei all showed a significant increasing trend, while Es showed a significant decreasing trend, especially in the middle and lower reaches of the basin. (3) In the context of vegetation restoration, ET and its components in the typical watershed of the middle reaches of the Yellow River change significantly. Compared with their located watersheds, ET, Ec, Es and Ei are 2.20%, 5.86%, 0.86% and 7.44% higher, respectively, and the rates are -0.51 mm/a, 0.55 mm/a, -1.11 mm/a and 0.05 mm/a higher, respectively.

植被作为影响陆地水循环的关键下垫面因素,对水文过程以及能量平衡的各个方面起着至关重要的作用。植物对降水的截留作用通常是不可忽略的(被截获的水分最终通过蒸发返回大气),尤其是在植被覆盖密集的地区。植物通过在其根部建立生物孔隙的方式,增加土壤的渗透能力。此外它们还可改变土壤表面的粗糙度,进而影响径流的产汇流过程。从能量平衡的角度分析,植被通过影响地表反照率、辐射率,以及分配到冠层和土壤的能量比例的方式,直接确定表面能的输入和输出状态[1,2]。植被变化所导致的下垫面变化,已深刻地改变了区域水热平衡[3]以及水文过程的各个要素,并对流域水资源的配置规划带来了新的挑战[4]
蒸散发是水文循环中不可或缺的一环 [5],不仅充当着水、能量以及碳循环的交互节点[6],而且对气候变化和植被变化的响应十分敏感[7,8],其主要组分有植被蒸腾Ec、截留蒸发Ei和土壤蒸发Es[9]。Calder等认为[10],土地利用与覆盖变化(LUCC)主要通过作用于蒸散过程从而影响流域的水文循环过程。由于植被密度及植被类型的不同,不同土地类型的区域之间蒸散发也有所不同。目前,植被恢复的生态水文效应主要集中在对径流影响的研究[11,12,13],然而对蒸散发的影响研究亟待增加[14],因为这将有助于从机理上揭示植被变化对水文过程的影响。虽然部分学者尝试分析了植被恢复与蒸散发变化间的关联,但主要集中于植被恢复对蒸散发总量变化的影响分析[15]。由于蒸散发组分在时空分布上均有一定的独特性,仅对蒸散发总量进行分析,较难以厘清植被变化如何通过改变能量在植被—土壤之间的分配方式,影响蒸散发组分比例的变化,进而影响流域径流变化的机理过程。
黄河中游河口—龙门区间(简称“河龙区间”)地处我国水土流失最严重的地区,是水土流失重点治理区域[16]。研究表明,三门峡以上区域输入黄河的泥沙中,有90%以上的比例来自该地区 [17]。为了减少黄河中游水土流失,自20世纪90年代末以来,我国先后投资超过87亿美元[18],在该区域开展了大规模的植被恢复工程。在植被恢复工程的作用下,该区域的坡耕地大量绿化,2000—2013年的植被较1980—1999年呈现显著变绿的趋势[19],植被覆盖度提高了25%,植被恢复工程显著提升了区域的生态恢复效果[20]。黄河中游植被快速恢复的“减水减沙”效应,已被诸多学者进行报道[21,22,23]。但是,近年来,特别是2000年以来植被恢复显著的时期,在黄河中游植被快速恢复的背景下,区域的蒸散发及其组分到底发了哪些变化?是否存在较显著的空间差异性?这些科学问题亟待解答。基于此,本文选择黄河中游河龙区间为研究区,在验证最新的PML_V2模型的蒸散发产品在本区域的适用性基础上:(1)分析植被变化背景下,河龙区间蒸散发及其组分的时空变化动态;(2)以6个典型流域为例,重点阐明流域尺度蒸散发及其组分的变化。本文不仅将有利于揭示植被变化对生态水文过程的影响机理,而且将为黄河中游植被恢复工作的开展提供有力的科学理论依据。

1 研究方法与数据来源

1.1 研究区概况

黄河中游的河口镇到龙门区间,面积约1.1×105 km2,占黄河流域面积的15%,年均温为6~14 ℃,年潜在蒸发量为1500~2000 mm,年降水量为300~580 mm,降水夏多冬少,降雨强度较大;海拔1100~1500 m,切割深度100~500 m,地表裂度30%~70%[24]。本文选取皇甫川(1号)、孤山川(2号)、窟野河(3号)、秃尾河(4号)、佳芦河(5号)、无定河(6号)6个流域作为典型研究区,流域空间分布如图1所示。
图1 黄河中游及6个典型流域位置

Fig. 1 Location of the Middle Yellow River and six typical watersheds

1.2 数据来源

黄河中游6个流域2003—2018年逐月径流数据来自国家水利部汇编的水文年鉴,流域内人类活动直接取耗水资料来自黄河水利委员会第二次水资源普查。34个国家气象站的逐日降水数据,来自中国气象局国家气象信息中心( http://data.cma.cn/),通过累计获取月、年值,并利用ArcGIS空间插值模块获取格网数据,然后使用流域边界提取月和年均值。1995年和2015年的LUCC数据来源于中国科学院资源环境科学数据中心( http://www.resdc.cn)。土壤湿度数据来源于美国国家航空航天局(NASA)戈达德地球科学数据信息与服务中心( http://disc.gsfc.nasa.gov)的GLDAS_NOAH025_M_2.1,其空间分辨率为0.25° ×0.25°,时间分辨率为1个月,数据的时间跨度为2003—2018年。

1.3 研究方法

1.3.1 PML_V2模型
PML_V2模型在Penman-Monteith公式和光合速率—气孔导度模型计算基础上[25,26,27],借助Google Earth Engine构建而成。MODIS数据(叶面积指数、反照率和发射率)以及GLDAS气象驱动数据为模型的输入端,借助全球95个涡度相关通量站的观测数据,对模型进行参数率定及验证,经检验,PML_V2产品在全球尺度上的均方根误差RMSE为 0.73 mm/d[25]。最终PML_V2模型将产品分为EcEiEs三个部分进行输出,产品范围囊括全球。该输出的时间跨度为2002年7月至2019年8月,空间分辨率为0.05°,可从中国科学院青藏高原研究所数据共享网站( http://data.tpdc.ac.cn/zh-hans/dashboard/#/data/downloadD-ata)获取。研究表明,PML_V2模型可有效提高GPPET和水分利用效率的估算准确率,通过改进模型输入、模型结构和参数化方案可以进一步降低模型的不确定性[25]
1.3.2 模型评价指标
本文选取相关系数(r),偏差百分比(PBIAS),Kling-Gupta效率系数(KGE)和纳什系数(Nash-Sutcliffe efficiency coefficient,NSE)评估PML_V2模型性能。KGE通过对观测值(o)与模拟值(s)的r以及均值( μ)与标准差( δ)的综合性分析,较为全面地验证了PML_V2模型,其可通过式(1)进行计算。
KGE = 1 - r - 1 2 + α - 1 2 + β - 1 2
式中: α用于度量模拟值和观测值的相对可变性, α = δ s / δ o, β = μ s / μ o
NSE是验证水文模型的常用参数,计算公式如下:
NSE = 1 - t = 1 T o t - s t 2 t = 1 T o t - μ o 2
式中: o t s t分别对应某一时刻的观测值和模拟值;t表示某一时刻;T表示最终时刻; μ o表示观测值的均值。NSE取值范围为 ( - , 1]。当NSE >0.5时,认为模型适用性较好;当NSE >0时,认为模型结果存在误差但可接受。
1.3.3 统计检验方法
Kolmogorov-Smirnov检验可用于分析两个经验分布的一致性情况[28]。通过构造统计量 D n,与不同置信水平下的检验临界值相比较,若 D n小于检验临界值则认为两经验分布一致,否则不一致。Mann-Kendall检验可用于分析蒸散发组分随时间变化的趋势性,检验得到变化率 τ和显著性水平 p以进行趋势分析。 τ > 0表示蒸散发及其组分呈增加趋势,反之呈减小趋势;当 p<0.05认为趋势显著,反之不显著[29]

2 结果分析

2.1 模型性能验证

2.1.1 模型指标评定
利用黄河中游6个典型流域水文气象数据,基于水量平衡原理计算得到ET观测值。
ET = P - R - S
式中:P为降雨量(mm);R为径流量(mm);△S代表土壤储水量的变化量(mm),由SM_NoahV 2.1土壤湿度产品计算得到。6个典型流域的rPBIASKGE图2。窟野河流域模拟值与观测值之间的r达到0.95,为极高相关;皇甫川、孤山川、秃尾河、无定河流域模拟值与观测值之间的r大于或接近0.8,为高度相关;佳芦河流域模拟值与观测值之间的r最小,为0.66,中度相关。所有流域的PBIAS均低于5.5%,模拟误差小。皇甫川、孤山川、窟野河、无定河流域KGE均大于0.6,模型较为适用,秃尾河、佳芦河流域KGE大于0.5,模型可信。计算得到6个流域的NSE值见表1NSE在窟野河流域最大,达到0.83;在佳芦河流域最小,为0.30;6个流域的NSE平均值为0.63,表明该蒸散发产品在黄河中游的适用性较好。
图2 PML蒸散发产品在黄河中游6个典型流域的适用性验证

Fig. 2 Validation of the applicability of PML evapotranspiration products in six typical watersheds of the Middle Yellow River

表1 黄河中游6个典型流域的NSE

Table 1 NSE values of six typical watersheds in the Middle Yellow River

流域 皇甫川 孤山川 窟野河 秃尾河 佳芦河 无定河
NSE 0.704 0.640 0.834 0.555 0.300 0.593
2.1.2 Kolmogorov-Smirnov检验
为了进一步验证PML_V2模型对ET的模拟效果,对由水量平衡推求得到的ET观测值和PML_V2模型模拟结果进行Kolmogorov-Smirnov检验,检验所得统计量为 D n = 0.071, D n 0.05 = 0.105,则 D n < D n 0.05,保留无效假设,即ET观测值与PML_V2模型模拟值服从相同分布。因此,PML_V2模型模拟结果与黄河中游实际情况较为相符,本文采用此模型具有合理性。

2.2 蒸散发及其组分的空间变化格局

黄河中游2003—2018年蒸散发及其组分的空间变化格局见图3Ec呈现从东南向西北递减趋势(图3a1),区域均值为154.88 mm。变化趋势上,Ec整体呈增加趋势,平均变化速率为6.14 mm/a,东部及南部区域增长速率较大(图3b1)。除南部边缘地区呈显著增加趋势外,研究区绝大部分地区的Ec均呈极显著增加趋势(图3c1)。EcET中占比的空间分布与Ec均值分布较为相似,东部及南部边缘地区Ec比例较高,向西北方向逐渐减小(图3d1),平均占比为33.36%。Ei除在南部极少数地区均值偏大外,分布较为均匀(图3a2、图3d2),大部分地区呈极显著增加趋势(图3c2),区域均值为14.07 mm,变化速率为0.54 mm/a。Es分布格局与Ec相反,呈自西北向东南递减态势(图3a3),这与黄河中游植被分布密切相关。黄河中游植被主要集中于中东部地区,植被覆盖度呈现东南多西北少的特点。Ec与植被覆盖度呈正相关,即与植被分布一致。由于植被可拦截太阳辐射,致使地面获得能量减小,导致Es减小,因此Es分布格局与植被分布格局相反。Es在西部和北部呈不显著增加趋势,在东部和南部呈极显著减小趋势(图3c3),平均速率为-1.62 mm/a。EsET中平均占比为64.15%,南部地区占比较小;西北部地区占比较大,部分地区在90%以上(图3d3)。ET整体分布呈自东南向西北逐渐减小趋势 (图3a4),与Ec空间分布较为相似,区域均值为437.77 mm。ET在研究区中部呈极显著增加趋势,且增长速率较快;南北两侧增长速率较慢,变化不显著(图3b4、图3c4)。
图3 2003—2018年黄河中游蒸散发及其组分空间分布

注:显著性图例中,+、-表示增加、减少,1、2、3代表显著(p<0.05)、非常显著(p<0.01)、极显著(p<0.001)。

Fig. 3 Dimensional pattern of evapotranspiration and its components in the Middle Yellow River in 2003-2018

黄河中游6个流域的蒸散发及其组分变化情况见图4Ec在6个流域中均值变化范围为86.39~107.19 mm,其中佳芦河流域的Ec均值最大。各流域Ec均呈增加趋势,平均速率为4.98 mm/a,秃尾河、佳芦河流域Ec增长速率较大,均在5.5 mm/a以上。Ec占比在佳芦河最大,达到26.62%,在皇甫川流域最小,仅为22.05%,平均占比为24.33%。Es在6个流域分布较为均匀,均值约为288.83 mm。孤山川、佳芦河流域Es呈减小趋势,其余流域Es呈增加趋势,其中无定河流域Es增长最快,为1.81 mm/a,佳芦河流域Es减小最快,为0.17 mm/a。Es在各流域平均占比为73.64%,是占比最高的蒸散发组分。EiEc分布较为相似,均值和占比较小,在各流域中均呈增加趋势,其中佳芦河流域Ei速率有最大值,达到0.68 mm/a。
图4 黄河中游6个典型流域蒸散发及其组分空间分析

注:***表示各流域中该组分变化趋势均显著(p<0.001)。

Fig. 4 Spatial analysis of evapotranspiration and its components in six typical warersheds of the Middle Yellow River

此外,蒸散发组分变化与流域空间格局有关。首先,南部流域EcEi大于北部流域,Es小于北部流域。自北向南,每隔一流域Ec增加3.51 mm、Ei增加0.31 mm、Es减少3.72 mm。其次,南部流域蒸散发组分的变化速率大于北部流域。自北向南,每隔一流域Ec提高0.353 mm/a、Es提高0.166 mm/a、Ei提高0.033 mm/a。这是由于黄河中游地处内陆地区,夏季风自南向北运动,因此南部流域降水更为充沛,从而为植被生长提供了水分保障,使得植被分布南密北疏,进而产生上述结果。

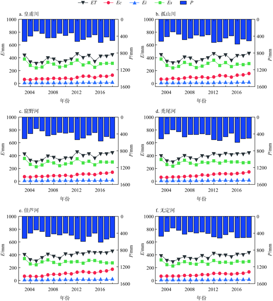
2.3 典型流域蒸散发及其组分的年际变化

图5展示了2003—2018年间6个典型流域的降水(P)与蒸散发及其组分的年际变化情况。总体而言,在2003—2010年间,6个流域的蒸散发及其组分均存在一定的波动;在2010—2018年间,皇甫川、孤山川、窟野河流域波动性较大,秃尾河、佳芦河、无定河流域较为平稳。此外,Ec在各流域中所占降水比例约在21%~23%,Es所占比例约在60%~68%,Ei所占比例均在5%左右。6个流域的ETEcEi均随时间增加,Es则在孤山川、佳芦河流域呈减小趋势,在其余流域呈增加趋势。ET以6.17 mm/a的平均速率随时间增加,其中佳芦河流域ET增加速率最大,达到7.32 mm/a;皇甫川流域ET增加速率最小,仅为5.11 mm/a。蒸散发组分中,Ec增长速率最快,平均速率为4.98 mm/a,对ET增长贡献率最高,达到81%;其次为Es,平均速率为0.71 mm/a,对ET增长贡献率为12%;Ei速率最小,仅为0.47 mm/a,贡献率为8%。
图5 黄河中游6个流域蒸散发及其组分时间变化趋势

Fig. 5 Temporal variation trend of evapotranspiration and its components in six typical warersheds of the Middle Yellow River

2.4 典型流域中植被恢复区的蒸散发及其组分变化

本文根据1995年和2015年的LUCC数据提取得到6个流域的植被恢复区,随后以各流域为对照组,流域中植被恢复区为观察组,分析植被恢复背景下,典型流域中植被恢复区的蒸散发及其组分变化情况。观察组ET及其组分变化情况如表2所示。
表2 流域中植被恢复区域ET及其组分变化情况

Table 2 Regional trend slope and watershed trend slope of vegetation restoration

Ec Es Ei ET
均值/mm 101.09 291.32 8.54 400.95
趋势/(mm/a) 5.53*** -0.4 0.53*** 5.66*

注:****分别表示在0.001和0.05置信水平显著。

表2可知,植被恢复区域中EsET比例最大,达到72.7%;Ec其次,为25.2%;Ei最小,仅有2.1%。EcEi均呈极显著增加趋势,ET呈显著增加趋势,Es呈不显著减小趋势。其中ET变化速率最快,达到5.66 mm/a;Es变化速率最小,仅为-0.4 mm/a。
观察组和对照组的蒸散发及其组分间差异见图6。除秃尾河流域Es减小外,6个流域的蒸散发及其组分均增加,其中Ec平均偏高5.86%,Es偏高0.86%,Ei偏高7.44%,ET偏高2.20%。二者在无定河流域差异最大,Ec相差13.39 mm,Es相差7.06 mm,Ei相差1.54 mm,ET相差21.99 mm;在皇甫川、孤山川流域差异较小,蒸散发组分相对偏差均小于2%。此外,观察组蒸散发及其组分的变化速率相较对照组也有明显差异。观察组EcEi的变化速率高于对照组,而EsET的变化速率小于对照组。其中Ec变化速率平均相差0.55 mm/a,Ei相差0.05 mm/a,Es相差1.11 mm/a,ET相差0.51 mm/a。
图6 黄河中游6个典型流域中植被恢复区的蒸散发及其组分与所处流域的差异

Fig. 6 Differences in ET and its components between the vegetation restoration areas and the watershed where it is located

3 结论与讨论

3.1 结论

本文以黄河中游6个典型植被恢复流域为研究对象,利用PML_V2模型和水文气象数据,验证了该模型模拟蒸散发的性能,并分析了2003—2018年间植被恢复工程背景下,黄河中游蒸散发及其组分的时空变化格局。结论如下:
(1)PML模型的蒸散发产品在黄河中游具有较好的适用性。通过与流域水量平衡ET进行对比与检验发现,NSE >0.63, D n < D n 0.05,通过了KS检验。
(2)EcET的分布格局起着主导作用,由夏季风作用下的植被空间分布所控制。EcET空间格局相近,Es分布格局与其相反。ETEcEi均呈显著增加趋势,Es则呈显著减小趋势,尤以流域中下游最为明显。
(3)植被恢复背景下,黄河中游典型流域的蒸散发及其组分发生了明显的变化。相较于所在流域,流域中植被恢复区ETEcEsEi分别偏高2.20%、5.86%、0.86%、7.44%,变化速率分别偏高-0.51 mm/a 、0.55 mm/a 、-1.11 mm/a、0.05 mm/a。

3.2 讨论

3.2.1 黄河中游降水变化格局
诸多学者发现大规模的植被恢复会对区域的降水产生显著影响,植被恢复区域地表粗糙度有所增大,进而推动近地层水蒸气运送至高空,遇冷凝结产生降水[30]。本文在此基础上对黄河中游进行针对性分析,计算结果表明:降水在2003—2016年间均值为460.31 mm,其中在2005年有最小值336.27 mm,2013年有最大值571.69 mm。降水量以6.52 mm/a的速率呈上升趋势。Mann-Kendall检验表明:降水在2003—2005年间呈不显著的减小趋势,在2005—2016年间呈不显著的上升趋势。由此可见,随着植被恢复工程的开展,在时间格局上黄河中游降水表现出逐渐增多的特点。空间格局上,黄河中游南部区域的降水大于北部区域(图5),这是由于南部区域相较北部区域更接近海洋,因此更易受夏季风影响,使得其降水大于北部区域。
3.2.2 植被变化的生态水文效应
蒸散发变化可归因于气候变化、植被恢复、人为干扰、土壤和地形特性改变等诱因[31]。由于黄河中游区域土壤和地形在近20年内没有发生显著变化,因此气候、植被及人为干扰对蒸散发的作用较大。其中植被恢复可使蒸散发明显增加,且植被恢复主要通过增加Ec而改变ET [20]。已有研究利用abcd_PML 模型开展实验,结果表明[32],植被绿化会增加ET并降低径流,而植被褐化对ET和径流则有相反的影响。现有研究指出由于土壤表面的阴影增加,植被恢复增加了Ec,但减少了Es,陆地上Ec的总体增加量约为Es减少量的两倍[33]。本文在对黄河中游流域蒸散发及其组分的空间变化格局中也分析得出,植被恢复可使得植被蒸腾及冠层截留蒸散发有显著性提高(显著性水平0.001),由图4可知EcEi均呈极显著上升趋势,Es呈不显著下降趋势。
此外,植被恢复可通过减少径流量的方式[34],显著地影响区域的水循环系统[35]。本文对2003—2016年黄河中游流域年际径流量进行分析,结果表明,近年来该地区径流量以0.88 mm/a的速率呈显著上升趋势(显著性水平为0.05)。此外径流在2003—2011年呈递减态势,在2011—2016年呈递增态势。2011—2016年径流深的表现看似与植被恢复会减小径流量的现有结论相矛盾,其原因在于除植被外,径流还受气候变化影响,包括降水、温度和风速等。在某些情况下,这些因素在调节径流方面比植被发挥的作用更大,进而导致径流变化与植被恢复的相关性小。例如径流减小趋势也出现在植被退化区域[32],这很可能是因为非植被因素对径流的作用效果大于植被。
3.2.3 不确定性与展望
本文对所涉数据进行了严格的质量控制,客观真实地分析了植被恢复对黄河中游蒸散发的影响。尽管如此,仍存在一定的不确定性。首先,根据水量平衡方程计算得到的ET观测值存在误差。因没有考虑人类活动对ET和水储量的影响,例如水库运行和人类取水,这可能使得模型性能评定存在一定的不确定性。其次,仅初步考虑了植被因素对蒸散发的影响,但人为干扰、地理变迁、地形等因素也可对蒸散发产生影响。如大气 C O 2浓度的增大,可促使植被生产效率提高 [36],进而改变植被蒸腾量。未将以上因素纳入考量范围也会给本文带来一定程度的不确定性。
本文借助PML_V2模型的数据集,探讨了在植被快速恢复作用下,黄河中游6个典型流域的ET及其组分变化格局。但若要更为精确地衡量植被恢复对水文过程的影响,需在现有PML_V2数据集的基础上,对多种蒸散发产品进行对比分析,分析基于不同模型条件下植被恢复对各变量的作用情况,从而综合考量ET及其组分对植被恢复的响应机理。
[1]
LIAN X, PIAO S, HUNTINGFORD C, et al. Partitioning global land evapotranspiration using CMIP5 models constrained by observations. Nature Climate Change, 2018,8(7):640-646.

DOI

[2]
YANG W, LONG D, BAI P. Impacts of future land cover and climate changes on runoff in the mostly afforested river basin in North China. Journal of Hydrology, 2019,570:201-219.

DOI

[3]
LIANG W, BAI D, WANG F Y, et al. Quantifying the impacts of climate change and ecological restoration on streamflow changes based on a Budyko hydrological model in China's Loess Plateau. Water Resources Research, 2015,51(8):6500-6519.

DOI

[4]
CHEN Y P, WANG K B, LIN Y S, et al. Balancing green and grain trade. Nature Geoscience, 2015,8(10):739-741.

DOI

[5]
JUNG M, REICHSTEIN M, CIAIS P, et al. Recent decline in the global land evapotranspiration trend due to limited moisture supply. Nature, 2010,467(7318):951-954.

DOI

[6]
钱虹. 城市化进程中土地利用变化对蒸散的影响模拟. 南京: 南京信息工程大学, 2015.

[ QIAN H. Simulation of the effect of land use change on evapotranspiration during urbanization. Nanjing: Nanjing University of Information Science & Technology, 2015.]

[7]
BRUTSAERT W, PARLANGE M B. Hydrologic cycle explains the evaporation paradox. Nature: International weekly Journal of Science, 1998,396(6706):30.

[8]
ZHANG S L, YANG H B, YANG D W, et al. Quantifying the effect of vegetation change on the regional water balance within the Budyko framework. Geophysical Research Letters, 2016,43(3):1140-1148.

DOI

[9]
BARBOUR M M, HUNT J E, WALCROFT A S, et al. Components of ecosystem evaporation in a temperate coniferous rainforest, with canopy transpiration scaled using sapwood density. New Phytologist, 2005,165(2):549-558.

DOI

[10]
CALDER I R, HALL R L, BASTABLE H G. The impact of land use change on water resources in sub-Sabaran Africa: A modeling study of Lake Malawi. Journal of Hydrology, 1995,170:63-135.

DOI

[11]
张晓明, 曹文洪, 余新晓, 等. 黄土丘陵沟壑区典型流域土地利用/覆被变化的径流调节效应. 水利学报, 2009,40(6):641-650.

[ ZHANG X M, CAO W H, YU X X, et al. Effect of LUCC on runoff regulation in watershed in loess gullied-hilly region of China. Journal of Hydraulic Engineering, 2009,40(6):641-650.]

[12]
魏晓华, 李文华, 周国逸, 等. 森林与径流关系: 一致性和复杂性. 自然资源学报, 2005,20(5):761-770.

[ WEI X H, LI W H, ZHOU G Y, et al. Forests and stream flow: Consistence and complexity. Journal of Natural Resources, 2005,20(5):761-770.]

[13]
赵跃中, 穆兴民, 严宝文, 等. 延河流域植被恢复对径流泥沙的影响. 泥沙研究, 2014, (4):67-73.

[ ZHAO Y Z, MU X M, YAN B W, et al. Influence of vegetation restoration on runoff and sediment of Yanhe Basin. Journal of Sediment Research, 2014, (4):67-73.]

[14]
张淑兰. 土地利用和气候变化对流域水文过程影响的定量评价. 北京: 中国林业科学研究院, 2011.

[ ZHANG S L. The assessment of impact of land use change and climate variability on hydrological process in basin. Beijing: Chinese Academy of Forestry, 2011.]

[15]
杜琦. 山西省汾河流域植被恢复对蒸散发的影响. 人民珠江, 2018,39(1):10-12, 39.

[ DU Q. Effects of vegetation restoration on evapotranspiration in Fenhe River Basin of Shanxi province. Pearl River, 2018,39(1):10-12, 39.]

[16]
党素珍, 闫双荣, 董国涛, 等. 2016年黄河十大孔兑及河龙区间降水特性分析. 人民黄河, 2019,41(3):11-15.

[ DANG S Z, YAN S R, DONG G T, et al. Analysis of precipitation characteristics ten tributaries and Hekouzhen-Longmen Section of the Yellow River in 2016. Yellow River, 2019,41(3):11-15.]

[17]
武荣, 陈高峰, 张建兴. 黄河中游河口—龙门区间水沙变化特征分析. 中国沙漠, 2010,30(1):210-216.

[ WU R, CHEN G F, ZHANG J X. Changes of runoff and sediments in Hekou-Longmen Section of the Middle Yellow River. Journal of Desert Research, 2010,30(1):210-216.]

[18]
张含玉, 方怒放, 史志华. 黄土高原植被覆盖时空变化及其对气候因子的响应. 生态学报, 2016,36(13):3960-3968.

[ ZHANG H Y, FANG N F, SHI Z H. Spatio-temporal patterns for the NDVI and its responses to climatic factors in the Loess Plateau, China. Acta ecologica sinica, 2016,36(13):3960-3968.]

[19]
董镱, 尹冬勤, 李渊, 等. 黄土高原植被的时空变化及其驱动力分析研究. 中国农业大学学报, 2020,25(8):60-131.

[ DONG Y, YIN D Q, LI Y, et al. Spatio-temporal patterns of vegetation change and driving forces in the Loess Plateau. Journal of China Agricultural University, 2020,25(8):60-131.]

[20]
张宝庆, 邵蕊, 赵西宁, 等. 大规模植被恢复对黄河中游生态水文过程的影响. 应用基础与工程科学学报, 2020,28(3):594-606.

[ ZHANG B Q, SHAO R, ZHAO X N, et al. Effects of large-scale vegetation restoration on eco-hydrological processes over the Loess Plateau, China. Journal of Basic Science and Engineering, 2020,28(3):594-606.]

[21]
宋凤军. 皇甫川流域植被减水减沙效应的模拟研究. 杨凌: 西北农林科技大学, 2013.

[ SONG F J. Research on runoff and sendiment control benefits of vegetation measures in Huangfuchuan Watershed. Yangling: Northwest A&F University, 2013.]

[22]
尹国康. 黄河中游多沙粗沙区水沙变化原因分析. 地理学报, 1998, 53(2): 80-83, 85-89.

[ YIN G K. An analysis on the causes of variations of runoff and sediment yield in the sandy and coarse sediment region of the Middle Yellow River. Acta Geographica Sinica, 1998, 53(2): 80-83, 85-89.]

[23]
赵广举, 穆兴民, 田鹏, 等. 近60年黄河中游水沙变化趋势及其影响因素分析. 资源科学, 2012,34(6):1070-1078.

[ ZHAO G J, MU X M, TIAN P, et al. The variation trend of streamflow and sediment flux in the Middle Reaches of Yellow River over the past 60 years and the influencing factors. Resources Science, 2012,34(6):1070-1078.]

[24]
高照良, 付艳玲, 张建军, 等. 近50年黄河中游流域水沙过程及对退耕的响应. 农业工程学报, 2013,29(6):99-105.

[ GAO Z L, FU Y L, ZHANG J J, et al. Responses of streamflow and sediment load to vegetation restoration in catchments on the Loess Plateau. Transactions of the CSAE, 2013,29(6):99-105.]

[25]
ZHANG Y Q, KONG D D, GAN R, et al. Coupled estimation of 500 m and 8-day resolution global evapotranspiration and gross primary production in 2002-2017. Remote Sensing of Environment, 2019,222:165-182.

DOI

[26]
刘昌明, 李艳忠, 刘小莽, 等. 黄河中游植被变化对水量转化的影响分析. 人民黄河, 2016,38(10):7-12.

[ LIU C M, LI Y Z, LIU X M, et al. Impact of vegetation change on water transformation in the Middle Yellow River. Yellow River, 2016,38(10):7-12.]

[27]
BAI P, LIU X M, ZHANG Y Q, et al. Incorporating vegetation dynamics noticeably improved performance of hydrological model under vegetation greening. Science of the Total Environment, 2018,643:610-622.

DOI

[28]
ALBANO A M, RAPP P E, PASSAMANTE A. The two-dimensional Kolmogorov-Smirnov test. Physical Review E, 1995,52:196-206.

DOI

[29]
姜艳阳, 王文, 周正昊. MODIS MOD16蒸散发产品在中国流域的质量评估. 自然资源学报, 2017,32(3):517-528.

[ JIANG Y Y, WANG W, ZHOU Z H. Evaluation of MODIS MOD16 evaportranspiration product in Chinese river basins. Journal of Natural Resources, 2017,32(3):517-528.]

[30]
CHEN G S, NOTARO M, LIU Z Y, et al. Simulated local and remote biophysical effects of afforestation over the Southeast United States in boreal summer. Journal of Climate, 2012,25(13):4511-4522.

DOI

[31]
胡珊珊, 郑红星, 刘昌明, 等. 气候变化和人类活动对白洋淀上游水源区径流的影响. 地理学报, 2012,67(1):62-70.

DOI

[ HU S S, ZHENG H X, LIU C M, et al. Assessing the impacts of climate variability and human activities on streamflow in the water source area of Baiyangdian Lake. Acta Geographica Sinica, 2012,67(1):62-70.]

[32]
BAI P, LIU X, Y ZHANG, et al. Assessing the impacts of vegetation greenness change on evapotranspiration and water yield in China. Water Resources Research, 2020,56(10): e2019WR027019, Doi: https://doi.org/10.1029/2019WR027019.

DOI

[33]
ZHANG Y Q, PENA-ARANCIBIA J L, MCVICAR T R, et al. Multi-decadal trends in global terrestrial evapotranspiration and its components. SCI REP-UK, 2016,6:19124, Doi: https://doi.org/10.1038/srep19124.

DOI

[34]
孙兆峰, 王双银, 刘晶, 等. 秃尾河流域径流衰减驱动力因子分析. 自然资源学报, 2017,32(2):310-320.

[ SUN Z F, WANG S Y, LIU J, et al. Driving force analysis of runoff attenuation in Tuwei River Basin. Journal of Natural Resources, 2017,32(2):310-320.]

[35]
DUAN L X, HUANG M B, ZHANG L D. Differences in hydrological responses for different vegetation types on a steep slope on the Loess Plateau, China. Journal of Hydrology, 2016,537:356-366.

DOI

[36]
莫兴国, 林忠辉, 刘苏峡. 气候变化对无定河流域生态水文过程的影响. 生态学报, 2007,27(6):4999-5007.

[ MO X G, LIN Z H, LIU S X. Climate change impacts on the ecohydrological processes in the Wuding River Basin. Acta Ecologica Sinica, 2007,27(6):4999-5007.]

文章导航

/