基于临近台站气象数据的参考作物蒸散量估算方法

  • 张学梅 ,
  • 王自奎 ,
  • 沈禹颖 ,
  • 杨惠敏
展开
  • 兰州大学草地农业科技学院,草地农业生态系统国家重点实验室,草业科学国家级实验教学示范中心,兰州 730000
通讯作者:王自奎(1987- ),男,甘肃会宁人,博士,副教授,主要从事农田生态系统资源传输利用方面的研究。E-mail:

作者简介:张学梅(1993- ),女,甘肃民勤人,硕士,主要从事草地节水灌溉方面的研究。E-mail:

收稿日期: 2018-06-22

  要求修回日期: 2018-09-26

  网络出版日期: 2019-01-20

基金资助

国家重点研发计划项目(2016YFC04003)

国家自然科学基金项目(51609112)

国家牧草产业技术体系(CARS-34)

Comparison of different methods for estimating reference evapotranspiration with weather data from nearby stations

  • ZHANG Xue-mei ,
  • WANG Zi-kui ,
  • SHEN Yu-ying ,
  • YANG Hui-min
Expand
  • College of Pastoral Agriculture Science and Technology, Key Laboratory of Grassland Agro-ecosystem, National Demonstration Center for Experimental Grassland Science Education, Lanzhou University, Lanzhou 730020, China

Received date: 2018-06-22

  Request revised date: 2018-09-26

  Online published: 2019-01-20

Copyright

《自然资源学报》编辑部 所有

摘要

参考作物蒸散量(ET0)是评估区域植被耗水进而指导水资源优化管理所需的主要参数之一,但我国大部分地区标准化气象台站稀疏、部分研究点的气象资料通常难以获取,给ET0的计算带来了很大困难。以地处内陆旱区的内蒙古河套灌区为例,利用该区4个标准气象站1981-2006年的气象资料,讨论了研究点在没有历史气象数据且现有气象数据不完备的情况下,采用临近台站气象数据估算ET0的可靠性。估算方法分别为估算未知气象数据的FAO56 Penman-Monteith方程(PM56)、基于临近台站气象数据校正的经验公式以及利用临近台站气象数据训练的人工神经网络模型。结果表明:(1)在完全没有气象数据的条件下,可采用临近站点的气象数据估算研究点的ET0,平均绝对误差(MAE)为0.43~0.52 mm d-1,均方根误差(RMSE)为0.56~0.63 mm d-1;估算精度与台站间的距离有关,利用维度信息校正太阳辐射值可提高估算精度。(2)仅有最高和最低气温数据时,估算气象数据的PM56方程计算误差较大,且站点之间表现不稳定,人工神经网络模型的估算精度最高,MAE和RMSE分别为0.14~0.22 mm d-1和0.17~0.29 mm d-1;校正后的Hargreaves公式的估算效果次之,MAE和RMSE分别为0.23~0.26 mm d-1和0.30~0.31 mm d-1。(3)在已知温度和辐射数据时,利用临近台站气象数据训练的人工神经网络模型依然表现最好,MAE和RMSE分别为0.13~0.19 mm d-1和0.17~0.25 mm d-1,其他两种方法误差较大。在内陆干旱条件下,利用研究点的气温数据结合临近台站的历史气象信息可有效估算参考作物蒸散发。

本文引用格式

张学梅 , 王自奎 , 沈禹颖 , 杨惠敏 . 基于临近台站气象数据的参考作物蒸散量估算方法[J]. 自然资源学报, 2019 , 34(1) : 179 -190 . DOI: 10.31497/zrzyxb.20190115

Abstract

Potential evapotranspiration (ET0) is one of the most critical parameters that are essential for evaluating regional vegetation water use and managing water and soil resources. However, accurate estimation of it is so difficult for many parts of China due to a limited number of weather stations. Weather data from nearby stations are available for most sites, but past relevant works mainly focused on ET0 predicting methods with local weather data and less work was done to investigate the approaches for estimating ET0 with data from other stations. Therefore, this study was conducted to test the reliability of estimating ET0 with weather information from nearby stations. Whether data of four weather stations located in Hetao Irrigation District of western Inner Mongolia were collected. The study area has an arid climate with annual rainfall and pan evaporation of 130-215 and 2100-2300 mm respectively. Three commonly used approaches, namely, FAO56 Penman-Monteith equation (PM56) with estimated weather data, the empirical formula corrected with meteorological data of nearby stations, and the artificial neural network model (ANN) developed using meteorological data from nearby stations, were compared for predicting ET0 when data are limited in this work. The results showed that: (1) When all of the necessary parameters were not measured at the study sites, weather data from nearby stations could be used directly, the average absolute error (MAE) of the ET0 calculation was 0.43-0.52 mm d-1, and the root mean square error (RMSE) was 0.56-0.63 mm d-1, and the error could be narrowed by correcting the radiation data using the latitude information of the stations; (2) When the maximum and minimum air temperature data were available, PM56 with estimated weather data performed the worst, and the performance of the ANN model is the best with the MAE and RMSE ranging between 0.14-0.22 mm d-1 and 0.17-0.29 mm d-1, respectively; and the results of the calibrated Hargreaves formula are intermediate with the MAE and RMSE values of 0.23-0.26 mm d-1 and 0.30-0.31 mm d-1, respectively; (3) When knowing the temperature and radiation data, the ANN model trained with meteorological data from nearby stations is still the best, with MAE and RMSE values of 0.13-0.19 mm d-1 and 0.17-0.25 mm d-1, respectively, and the other two methods have larger error and the performance is inconsistent among different stations. The results of this study demonstrated that we can estimated ET0 accurately using air temperature data in combination with weather data of nearby stations under arid conditions, and the reliability of the methods still need to be validated under other climatic conditions.

参考作物蒸散发(Reference Evapotranspiration, ET0)是计算植被耗水量进而合理评估和管理水资源的基本水文参数[1,2,3,4],其计算方法包括理论模型和经验方程。FAO56 Penman-Monteith(PM56)模型考虑了能量平衡和空气动力学原理,计算结果准确并适用于不同气候条件,被FAO推荐为计算ET0和校准其他估算模型的标准方法[5,6],但其计算过程需要众多气象数据,在气象资料不完整的情况下难以使用。经验模型一般所需气象要素较少,国内许多学者针对不同地区的气候特点,对这些公式进行了大量的对比分析及改进[7,8,9,10],但经验模型的参数一般不具有普适性,导致其应用存在地域限制性。上述ET0估算方法大都是在研究点存在气象数据的情况下应用的,而在实际工作中研究点可能没有任何历史气象数据并且可提供的气象数据不完整。但是一般研究点附近的县市都具有标准台站,且气象数据可从国家气象科学数据共享服务平台下载,所以探讨如何利用其他台站的数据推求研究点ET0具有重要的实践意义。
Allen等在指出在应用PM56模型时,缺测的气象数据可通过经验公式进行估算或直接移用临近站点的数据[6]。有研究表明这种方法的估算效果优于经验公式,也有学者发现气象数据的估计误差会导致其估算效果不如经验模型[11]。人工神经网络模型(Artificial neural network,ANN)也被大量用于参考作物蒸发蒸腾的估算与预测研究。例如Kumar等使用多层感知器ANN估算作物蒸发蒸腾,发现其比PM56公式的估算精度更高[12];Sudheer等[13]、Rahimikhoob[14]及Jain等[15]的研究均表明气象数据不完整的情况下ANN的预测结果优于经验模型;Kisi等研究了没有气象数据时利用ANN估算ET0的可靠性[16]。在研究点没有历史气象数据的情况下,可尝试通过采用临近台站的数据直接估算ET0,或通过校正经验公式及训练ANN估算ET0,但相关的研究较少。所以本文以PM56公式为参照标准,讨论研究点在没有历史气象数据且现有气象数据不完备的情况下,基于临近台站气象数据估算ET0的可靠性,以期为水资源优化管理实践提供依据。

1 研究区概况与研究方法

1.1 研究区概况

研究以地处西北内陆的河套灌区为例,探讨气象数据不足时参考作物蒸散发的估算方法。河套灌区位于内蒙古自治区巴彦淖尔盟南部,是我国最大的一首制自流灌区,现有灌溉面积5.74×103 km2。灌区全年日照3100~3200 h,年降水量130~215 mm,年蒸发量2100~2300 mm,为典型的中温带干旱气候[17]。研究区磴口站、杭锦后旗站、乌拉特前旗站及五原站等4个站点1981-2006年的气象资料月均值,包括最高气温、最低气温、相对湿度、2 m高处风速、日照时数及降水量,由河套灌区管理总局提供,各站的地理位置及气候资料多年均值总结于表1
Table 1 Location and annual mean meteorological information of the selected stations during 1981-2006

表1 1981-2006年各气象站的地理位置及气候资料多年均值

站点 纬度/°N 经度
/°E
最高气温
/°C
最低气温
/°C
湿度
RH/%
风速
U2/m s-1
日照时数
/h
年降雨
/mm
ET0
/mm d-1
磴口 40.3 107.0 15.8 2.7 47.7 2.61 8.97 144.0 3.53
杭锦后旗 40.9 107.2 14.6 1.5 50.3 2.02 8.68 135.1 3.16
乌拉特前旗 40.8 108.6 15.1 1.6 48.8 2.84 8.68 213.3 3.54
五原 41.1 108.3 14.5 1.6 51.7 1.88 8.77 173.6 3.11

1.2 研究方法

本文以磴口和五原站为研究对象,假设这两个台站没有历史气象数据,估算1997-2006年两站的ET0,两站对应的“临近站点”分别为杭锦后旗站(与磴口直线距离约63 km)和乌拉特前旗站(与五原直线距离约50 km)。文章考虑三种气象数据缺测的情况:(1)没有任何气象数据;(2)仅能提供最高气温和最低气温;(3)可提供气温和太阳辐射数据。在第一种情况下,直接采用临近台站的气象数据估算ET0,然后利用维度信息对太阳辐射进行校准;第二种情况下,分别采用三种方法估算ET0,即估算未知气象数据的PM56方程、基于临近台站气象信息校正的经验公式以及利用临近台站气象数据训练的ANN;第三种情况下,也采用与第二种情况相同的方法估算ET0,不同的是经验公式采用Ritchie公式。
1.2.1 FAO56 Penman-Monteith公式
FAO56分册中定义的参考作物蒸发蒸腾量假设高度为0.12 m,冠层阻抗为70 m s-1,反射率为0.23,生长旺盛且完全覆盖地面的绿色草地的土壤蒸发与植被蒸腾的总和[6]。其计算公式参考FAO56分册第二章,公式中涉及的参数均采用FAO56分册第三章中提供的方法和步骤计算。
1.2.2 经验公式及其校正
根据国内学者在西北地区关于参考作物蒸散发计算方法已开展相关研究的结果,本文选取两个计算过程简单并且应用效果较好的经验公式,即Hargreaves和Ritchie公式。Hargreaves公式的主要特点是其仅需要最高和最低气温数据,计算过程简单并且计算结果较为精确[18,19]。FAO56也推荐在仅有温度数据时使用该公式,表达如下:
E T HG = 0.408 α ( ( T max + T min ) / 2 + 17.8 ) ( T max - T min ) 0.5 R a (1)
式中:ETHG是用Hargreaves公式计算得到的ET0(mm d-1);α为经验系数,取0.0023;TmaxTmin分别为最高气温和最低气温(℃);Ra为空外辐射(MJ m-2 d-1),可根据气象站所在的地理位置求得。
Ritchie公式首先由Ritchie等[201]提出,后来Jones等[21]对其进行了改进]。该公式除了需要最高和最低气温外,还需要太阳辐射,表达如下:
E T RT = β [ 3.87 × 10 3 R s ( 0.6 T max + 0.4 T min ) + 29 ] (2)
式中:ETRT是用Ritchie公式求得的ET0(mm d-1);Rs为太阳辐射(MJ m-2 d-1)。β为经验系数,当Tmax≥35 °C时,β =1.1+0.05(Tmax -35);当5<Tmax<35 ℃时,β取1.1;当Tmax≤5 ℃时,β =0.1exp[0.18(Tmax+20)][21]
所有的经验公式采用线性回归的方法对其进行校正:
E T CX = aE T C + b (3)
式中:ETCETCX分别校正前和校正后的经验公式所求的ET0;ab都为回归系数。因为本研究中假设研究点没有历史气象数据,所以采用临近台站1981-1996年的气象数据校正经验公式,用1997-2006年的气象数据验证校正系数,最后用校正后的系数估算目标台站1997-2006年的ET0
1.2.3 未知气象数据估算方法
FAO56指出,在气象数据缺测情况下,一些关键参数可经经验方法估算而得[6]。例如,太阳辐射可利用Hargreaves等提出的经验公式[18],由最高气温和最低温度求得:
R s ( T ) = K ( T max - T min ) 0.5 R a (4)
式中:Rs(T)是利用温度数据求得的太阳辐射(MJ m-2 d-1);K为经验系数,在内陆地区一般取0.16。太阳辐射也可采用临近台站的数据,但使用前要对其进行校正,校正公式为:
R s = R s , nearby R a , nearby R a (5)
式中:RsRs, nearby分别为目标站点和临近台站的太阳辐射;RaRa, nearby分别为目标站点和临近台站的空外辐射(MJ m-2 d-1)。实际水汽压可通过假定露点温度近似于最低温度,利用下式估算[6]
e a ( T min ) = 0.6108 exp 17.27 T min T min + 237.3 (6)
式中:ea(Tmin)是利用最低气温估算得到的实际水汽压(kPa)。风速数据可利用本区域的历史系列平均值,也可直接应用Allen等推荐的全球平均值,2 m s-1,因为风速对ET0的影响相对较小[6]
1.2.4 人工神经网络模型
基于标准反向传播算法的多层传感器网络是目前使用最广泛的ANN类型。有关该网络的基本计算原理读者可以参考Wang等[5]和蒋任飞等[22]的论文,这里不再赘述。本文针对两种气象要素组合建立了2个神经网络,分别记为ANN2(2个输入参数),ANN3(3个输入参数)。每个网络包括一个输入层、一个隐含层和一个输出层,输入层为气象要素,输出层为PM56公式计算的ET0值。隐含层神经元的数量一般通过试错法得到,但Kumar等研究发现利用神经网络估算ET0时,i+1(i为输入层神经元的个数)个神经元完全能够满足计算精度的需要[23],所以我们也采用了这种方法。本文用来训练ANN的算法为贝叶斯正则化算法。为了防止训练过程中数据溢出,研究中将1981-1996年的部分数据从训练数组中分离出来用来交叉验证神经网络。所有数据在输入神经网络之前都按以下方法进行标准化:
x norm = x 0 - x m SD (7)
式中:xnormx0xmSD分别表示标准化以后的值、原始值、数据系列的平均值及标准差。ANN的训练和验证过程均通过MATLAB 7.0实现。本研究采用临近台站1981-1996年的气象数据训练ANN,用1997-2006年的气象数据验证模型,最后用其估算目标台站1997-2006年的ET0
1.2.5 估算效果的评价方法
首先绘制估算值与实测值(PM56计算值)的散点图,结合二者的线性回归参数对各种方法的估算效果做初步分析,然后结合误差分析指标平均绝对误差(MAE)和均方根误差(RMSE)等详细对比评估各方法的优劣。线性回归主要用以分析模拟值和实测值的相关性,MAE用以评估所有模拟值与实测值的偏离程度,而RMSE侧重于评估模拟值中较大值与实测值的偏离程度。ET0估算值的MAE和RMSE与ET0平均值的比值在5%以内表明模拟精度较高,在5%~10%之间表明模拟精度尚可,而大于10%则表明模拟效果较差[5]

2 结果分析

2.1 没有气象数据时ET0的估算

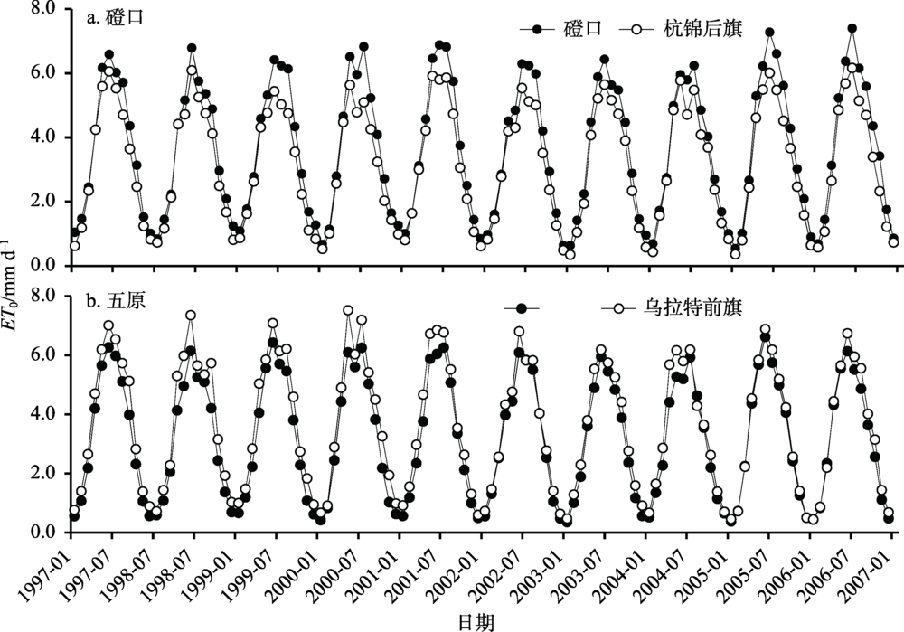
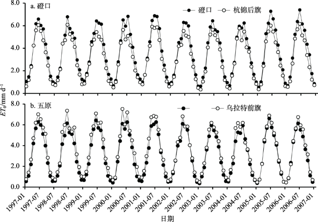
研究点磴口和五原站没有气象数据时,分别利用杭锦后旗和乌拉特前旗的气象数据计算两站相应的参考作物蒸散发,结果如图1所示。从图1a可知,利用杭锦后旗气象数据将会低估磴口ET0,统计结果显示估算值MAE为0.52 mm d-1,RMSE为0.63 mm d-1。河套灌区作物生长季一般为4~9月,10月至次年3月农田休闲。从图可知植物生长季估算绝对误差更大(MAE为0.73 mm d-1),休闲季较小(MAE为0.31 mm d-1)。从图1b可知,利用乌拉特前旗的气象数据计算的结果高估了五原站的ET0,MAE和RMSE分别为0.43 mm d-1和0.54 mm d-1
Fig. 1 Comparison of measured and estimated ET0 when no weather data existed at both study sites

图1 磴口站和五原站没有气象数据时ET0实测值和估算值的比较

2.2 仅有温度数据时ET0的估算

首先利用估算气象数据PM56法计算ET0。在仅有温度的情况下,需要根据式(4)和式(6)估算太阳辐射和饱和空气湿度状况,风速假定为2.0 m s-1。计算结果如图2中空心散点所示。直接利用这种方法的估算效果很差,大幅度低估参考作物蒸散发,磴口站MAE和RMSE分别为0.69 mm d-1和0.81 mm d-1,五原站MAE和RMSE分别为0.39 mm d-1和0.51 mm d-1,主要原因是估算的气象数据并不能反应目标站的真实天气状况。
Fig. 2 Comparisons of measured and calculated ET0 with estimated weather parameters when only air temperature existed at both study sites (a, DK; b, WY)

图2 磴口站和五原站仅有温度数据时用估算气象数据法计算的ET0值(ET0-PMT)与实测值(ET0-PM56)的比较

图3显示了太阳辐射和水汽压的估算结果。图3a和3c中空心散点显示的是利用式(4)估算的磴口和五原站太阳辐射,实心散点为通过校正临近台站数据获得的太阳辐射。由图可知两种方法都能较为精确地估算太阳辐射,所以太阳辐射的估算误差并不是导致ET0低估的主要原因。图3b和3d中空心散点显示的是利用式(6)估算的磴口和五原站的实际水汽压,实心散点为临近台站的水汽压数据。可见利用式(6)将会大幅度高估目标台站的饱和水汽压,而直接采用临近台站数据的效果很好。所以在利用此方法估算ET0时,太阳辐射和风速仍然采用原来的方法,而湿度数据改进为直接采用临近台站的数据,估算结果如图2中实心散点所示。改进湿度数据后,此方法在两个台站的表现都很好。五原站的MAE和RMSE分别减小为0.18 mm d-1和0.23 mm d-1,磴口站的MAE和RMSE分别减小为0.34 mm d-1和0.43 mm d-1。估算精度与没有气象数据相比大幅提高,若用该方法,每个月ET0的平均估算误差为5.4~10.2 mm。
Fig. 3 Comparisons of measured and estimated solar radiation (a and c) and water pressure (b and d) for DK (a and b) and WY (c and d) stations

图3 磴口站和五原站太阳辐射(a和c)和水汽压(b和d)估算值和真实值的比较

图4中空心散点显示了直接采用Hargreaves公式计算ET0的结果,可见该方法在两个站都低估了ET0,所以要对Hargreaves公式的计算结果进行校正。在目标试验站没有历史气象数据的情况下,采用临近台站的气象数据校正经验公式,然后利用临近台站的校正系数校正目标站的ET0,校正之后的估算结果如图4中实心点所示。可见改进后的Hargreaves公式在两站的应用效果均较好,误差统计显示磴口站MAE和RMSE分别为0.23 mm d-1和0.30 mm d-1,相对误差为8.6%;五原站MAE和RMSE分别为0.26 mm d-1和0.31 mm d-1,相对误差为14.2%。若用该方法,每个月ET0的平均估算误差为6.9~7.8 mm,可见该方法在站点之间稳定性较好,且平均误差低于估算气象数据的PM56法。
Fig. 4 Comparison of measured and calculated ET0 with Hargreaves equation when only air temperature existed at both study sites (a, DK; b, WY)

图4 磴口站和五原站仅有温度数据时用Hargreaves公式计算的ET0值(ET0-HG)与实测值(ET0-PM56)的比较

仅有温度数据,也可用临近台站的历史数据计算的标准ET0为参考建立ANN,然后利用ANN估算目标站的ET0。此时设计人工网络模型的输入参数为最高气温、最低气温及空外辐射(ANN2)。从图5中可以发现ANN2在仅有温度时模拟ET0的效果非常好,除了对磴口站的高值略有低估。磴口站MAE和RMSE分别为0.22 mm d-1和0.29 mm d-1,估算精度与校正后的Hargreaves公式相当;五原站MAE和RMSE分别为0.14 mm d-1和0.17 mm d-1,精度比校正后的Hargreaves公式略高。
Fig. 5 Comparison of measured and calculated ET0 with ANN model when only air temperature existed at both study sites (a, DK; b, WY)

图5 磴口站和五原站仅有温度数据时用ANN计算的ET0值(ET0-ANN2)与实测值(ET0-PM56)的比较

2.3 有温度和辐射数据时ET0的估算

研究点可提供气温和日照数据时,也采用上述三种方法估算ET0。估算未知气象数据的PM56法在五原站的估算结果非常理想,MAE和RMSE分别仅有0.18 mm d-1和0.21 mm d-1,但因为风速估计偏差较大,导致其低估了磴口站的ET0。根据临近台站气象数据校正后的Ritchie模型也在两站的表现不一致,低估了磴口站的ET0而高估了五原站的ET0,MAE和RMSE分别在0.26~0.39 mm d-1和0.33~0.48 mm d-1之间。ANN(ANN3)的输入参数为最高气温、最低气温和太阳辐射,误差统计数据显示,ANN3在磴口站的RMSE和MAE分别为0.19 mm d-1和0.25 mm d-1,在五原站RMSE和MAE分别为0.13 mm d-1和0.17 mm d-1。所以在有温度和辐射数据时利用临近台站的气象数据建立ANN可精确地估计参考作物蒸散发。

3 结论与讨论

3.1 结论

本文利用河套灌区4个标准台站的气象资料,讨论了研究点在没有历史气象数据且现有气象数据不完备的情况下,采用临近台站气象数据估算ET0的可靠性。结果表明在完全没有气象数据的条件下,利用临近站点的气象数据估算研究点ET0的误差较大,但利用维度信息校正太阳辐射可使估算精度提高;仅有最高和最低气温数据时,估算气象数据的PM56方程表现较差,而ANN的估算精度最高,MAE和RMSE分别为0.14~0.22 mm d-1和0.17~0.29 mm d-1,校正后Hargreaves公式的估算效果次之;在可提供温度和辐射数据时,利用临近台站气象数据训练的ANN依然表现最好,但其与仅有气温数据时人工网络模型相比提高幅度不大,Ritchie公式的精度低于Hargreaves公式。所以研究点在没有历史气象数据且现有气象设备不完整的情况下建议首先测定大气温度,利用温度数据和临近台站的气象信息,结合ANN可有效估算研究点的参考作物蒸散发。

3.2 讨论

研究中当气象数据不足时只能通过经验方法获取ET0,所以关于不同气象数据供应条件下ET0估算方法的研究非常之多,主要包括经验公式法[7,8,9,10,11]和黑箱模型法[5,12-16,23-25]。以往多数研究是在一个或多个站点历史气象数据的基础上讨论不同方法的适用性,一般在某个特定站点适用的方法并不一定在其他站点适用,所以此类研究的实践性存在一定的局限。本研究以遇到的实际问题为启发,探讨研究点完全没有历史气象数据并且难以全面测定气象数据的情况下ET0的估算方法,研究结果可直接服务于点上的灌溉试验研究及灌溉管理决策,也可用于估算区域植被的耗水。
本研究中内陆干旱条件下,如果研究点完全没有气象数据,直接采用临近台站的数据时,ET0的估算误差较大,MAE和RMSE和ET0均值的比值接近10%,月误差在15 mm左右,但对于实际灌溉管理仍有一定的参考价值。本研究中临近台站与目标站点的距离为50~60 km,而我国西部地域宽广、县域面积大,实践中许多目标站点与临近台站(最近有气象数据的台站)的距离可能更大,所以在选取临近台站时,一方面要保证直线及维度方向上距离最短,另一方面要选取地形类似的台站。气温和辐射是影响水分蒸散发最关键的因素,对它们的测定或精确估算将会大大提高蒸散发的计算精度[26,27,28]
仅有温度数据时ET0的估算历来受到科学家的重视,因为湿度、风速、太阳辐射等数据由于传感器价格昂贵、维护困难而在很多地方难以获取,气温数据相对容易测定。Hargreaves是仅有温度数据时最常用的经验公式。本文发现其在该研究区平均相对误差为11.4%,与Jensen等[29]的研究结果很相近,波动幅度小于赵璐等[10]的研究。该公式仅以大气顶层太阳辐射和温度数据作为其输入,认为太阳辐射、湿度等参数与大气温度变化幅度有一定的关系,未考虑风速对蒸散的影响。但在干旱多风地区仅有温度数据时,其估算结果不稳定,因而不建议使用该方法,这与Cai等[30]的观点一致。虽然风速对ET0的影响较小,但在西北内陆地区冬春季风速较高,将其假设为2.0 m s-1也会影响ET0的估算精度。Hargreaves公式中的经验参数随气候条件而变,校准之后其估算ET0的精度将会大幅度提高[6,9-10]。本文中利用附近台站气象数据校准后的Hargreaves公式的预测精度也接近于ANN2模型。因为神经网络的输入参数最高气温、最低气温和大气顶层太阳辐射与ET0之间的非线性关系可被神经网络训练拟合得到,所以仅有温度数据时其可较为精确地估算ET0。Wang等[5]、Jain等[15]和Singh等[31]的研究都证明气象数据不足时ANN模型估算ET0的效果优于经验模型,而Kisi等[16]尝试了没有气象数据时ANN模型估算ET0的效果,结果表明ANN模型结合维度、海拔、空外辐射等信息也可较好地估算ET0。在可提供气温和辐射数据时,利用临近台站数据校正的Ritchie公式的平均估算误差甚至高于Hargreaves公式,而ANN的估算精度也没有明显的提高,所以在内陆干旱条件下,利用研究点的温度数据结合临近台站的气象信息可有效估算ET0
本文计算时段为月尺度,对于区域长时期的水资源规划和管理具有一定的指导意义,但不一定能满足所有灌溉实践,特别是灌溉周期较短的喷灌、滴灌等。另外,计算周期拉长会降低估算过程的系统误差,所以本文月尺度的模拟精度都较高,基于临近台站数据估算日ET0的可靠性还需进一步研究。本文的研究区域为内蒙古河套灌区,该区气象特点为降水量低、空气湿度小、温差大,且冬春季风速较高,所以研究结论不一定适用与其他地区。以后的研究中应针对不同气候区的气候特点,对比使用临近台站气象数据估算目标站ET0不同方法的可靠性,并基于此提出普适性的估算方法。

The authors have declared that no competing interests exist.

[1]
姜艳阳, 王文, 周正昊. MODIS MOD16蒸散发产品在中国流域的质量评估. 自然资源学报, 2017, 32(3): 517-528.

[JIANG Y Y, WANG W, ZHOU Z H.Evaluation of MODIS MOD16 evapotranspiration product in Chinese river basins. Journal of Natural Resources, 2017, 32(3): 517-528.]

[2]
佟玲, 康绍忠, 杨秀英. 西北旱区石羊河流域作物耗水点面尺度转化方法的研究. 农业工程学报, 2006, 22(10): 45-51.

[TONG L, KANG S Z, YANG X Y.Transforming method from point to area of crop evapotranspiration in Shiyang River Basin in an arid region of Northwest China. Transactions of the CSAE, 2006, 22(10): 45-51.]

[3]
王自奎, 吴普特, 赵西宁, 等. 小麦/玉米套作田棵间土壤蒸发的数学模拟. 农业工程学报, 2013, 29(21): 72-81.

[WANG Z K, WU P T, ZHAO X N, et al.Mathematical simulation of soil evaporation from wheat/maize intercropping field. Transactions of the CSAE, 2013, 29(21): 72-81.]

[4]
高思远, 崔晨风, 范玉平. 基于岭估计的青海省东部农业区ET0遥感反演研究. 自然资源学报, 2016, 31(4): 693-702.

[GAO S Y, CUI C F, FAN Y P.Remote sensing inversion of ET0 in eastern agricultural area of Qinghai province based on ridge estimation. Journal of Natural Resources, 2016, 31(4): 693-702.]

[5]
WANG Z K, WU P T, ZHAO X N, et al.GANN models for reference evapotranspiration estimation developed with weather data from different climatic regions. Theoreical and Applied Climatology, 2014, 116(3): 481-489.

[6]
ALLEN R G, PEREIRA L S, RAES D, et al.Crop Evapotranspiration: Guidelines for Computing Crop Requirements. FAO Irrigation and Drainage Paper No. 56, Rome, Italy, 1998.

[7]
李志. 参考作物蒸散简易估算方法在黄土高原的适用性. 农业工程学报, 2012, 28(6): 106-111.

[LI Z.Applicability of simple estimating method for reference crop evapotranspiration in Loess Plateau. Transactions of the CSAE, 2012, 28(6): 106-111.]

[8]
闫浩芳, 史海滨, 薛铸, 等. 内蒙古河套灌区ET0不同计算方法的对比研究. 农业工程学报, 2008, 24(4): 103-106.

[YAN H F, SHI H B, XUE Z, et al.Comparison of estimating ET0 with different methods in Hetao Irrigation District in Inner Mongolia. Transactions of the CSAE, 2008, 24(4): 103-106.]

[9]
黄会平, 曹明明, 宋进喜, 等. 1957-2012年中国参考作物蒸散量时空变化及其影响因子分析. 自然资源学报, 2015, 30(2): 315-326.

[HUANG H P, CAO M M, SONG J X, et al.Temporal and spatial changes of potential evapotranspiration and its influencing factors in china from 1957 to 2012. Journal of Natural Resources, 2015, 30(2): 315-326.]

[10]
赵璐, 梁川, 崔宁博, 等. 不同ET0计算方法在川中丘陵地区的比较及改进. 农业工程学报, 2012, 28(24): 92-98.

[ZHAO L, LIANG C, CUI N B, et al.Comparison and improvement of different calculation methods for ET0 in hilly area of central Sichuan Basin. Transactions of the CSAE, 2012, 28(24): 92-98.]

[11]
刘钰, PEREIRA L S.气象数据缺测条件下参照腾发量的计算方法. 水利学报, 2001, 32(3): 11-17.

[LIU Y, PEREIRA L.Calculation methods for reference evapotranspiration with limited weather data. Journal of Hydraulic Engineering, 2001, 32(3): 11-17.]

[12]
KUMAR M, RAGHUWANSHI N S, SINGH R, et al.Estimating evapotranspiration using artificial neural network. Journal of Irrigation and Drainage Engineering, 2002, 128(4): 224-233.

[13]
SUDHEER K P, GOSAIN A K, RAMASASTRI K S.Estimating actual evapotranspiration from limited climatic data using neural computing technique. Journal of irrigation and drainage engineering, 2003, 129(3): 214-218.

[14]
RAHIMIKHOOB A.Estimation of evapotranspiration based on only air temperature data using artificial neural networks for a subtropical climate in Iran. Theoretical and Applied Climatology, 2010, 101(1-2): 83-91.

[15]
JAIN S K, NAYAK P C, SUDHEER K P.Models for estimating evapotranspiration using artificial neural networks, and their physical interpretation. Hydrological Processes, 2008, 22(13): 2225-2234.

[16]
KISI O, SANIKHANI H, ZOUNEMAT-KERMANI M, et al.Long-term monthly evapotranspiration modeling by several data-driven methods without climatic data. Computers and Electronics in Agriculture, 2015, 115: 66-77.

[17]
郑景云, 尹云鹤, 李炳元. 中国气候区划新方案. 地理学报, 2010, 65(1): 3-12.

[ZHENG J Y, YIN Y H, LI B Y.A new scheme for climate regionalization in China. Acta Geographica Sinica, 2010, 65(1): 3-12.]

[18]
HARGREAVES G H, SAMANI Z A.Reference crop evapotranspiration from temperature. Applied Engineering in Agricuture, 1985, 1(2): 96-99.

[19]
范文波, 吴普特, 韩志全, 等. 玛纳斯河流域ET0影响因子分析及对Hargreaves法的修正. 农业工程学报, 2012, 28(8): 19-24.

[FAN W B, WU P T, HAN Z Q, et al.Influencing factors analysis of reference crop evapotranspiration and modification of Hargreaves method in Manas Rriver Basin. Transactions of the CSAE, 2012, 28(8): 19-24.]

[20]
RITCHIE J T, PORTER C H, JUDGE J, et al.Extension of an existing model for soil water evaporation and redistribution under high water content conditions. Soil Science Society of America Journal, 2009, 73(3): 792-801.

[21]
JONES J W, HOOGENBOOM G, BATCHELOR W D, et al.The DSSAT cropping system model. European Journal of Agronomy, 2003, 18(3/4): 235-265.

[22]
蒋任飞, 阮本清, 韩宇平, 等. 基于BP神经网络的参照腾发量预测模型. 中国水利水电科学研究院学报, 2005, 3(4): 308-311.

[JIANG R F, RUAN B Q, HAN Y P, et al.Model for estimating reference evapo-transpiration based on BP neural network. Journal of China Institute of Water Resources and Hydropower Research, 2005, 3(4): 308-311.]

[23]
KUAMR M, RAGHUWANSHI N S, SIGHN R.Development and validation of GANN model for evapotranspiration estimation. Journal of Hydrologic Engineering, 2009, 14(2): 131-140.

[24]
CHARZITHOMAS C D, ALEXANDRIS S G.Solar radiation and relative humidity based, empirical method, to estimate hourly reference evapotranspiration. Agricultural Water Management, 2015, 152: 188-197.

[25]
GOCIC M, MOTAMEDI S, SHAMSHIRBAND S, et al.Soft computing approaches for forecasting reference evapotranspiration. Computers and Electronics in Agriculture, 2015, 113(C): 164-173.

[26]
郭映, 董阳, 周振方, 等. 半干旱区玉米茎流规律及其对气象因子的响应. 干旱区资源与环境, 2014, 28(9): 94-99.

[GUO Y, DONG Y, ZHOU Z F, et al.The sap flow of corn during the growth period and its response to meteorological factors in semi-arid area. Journal of Arid Land Resources and Environment, 2014, 28(9): 94-99.]

[27]
丁日升, 康绍忠, 张彦群, 等.干旱内陆区玉米田水热通量特征及主控因子研究. 水利学报. 2014, 45(3): 312-319.

[DING R S, KANG S Z, ZHANG Y Q, et al.Characteristics of water vapor and heat fluxes and the controlling factors over a maize field in the arid inland region. Journal of Hydraulic Engineering, 2014, 45(3): 312-319.]

[28]
ZHANG B Z, XU D, LIU Y, et al.Multi-scale evapotranspiration of summer maize and the controlling meteorological factors in North China. Agricultural and Forest METeorology, 2016, 216: 1-12.

[29]
JENSEN M E, BURMAN R D, ALLEN R G.Evapotranspiration and irrigation water requirements: ASCE manuals and reports on engineering practice No. 70. New York: ASCE, 1990.

[30]
CAI J B, LIU Y, LEI T W, et al.Estimating reference evapotranspiration with the FAO Penman Monteith equation using daily weather forecast messages. Agricultural and Forest Meteorology, 2007, 145(1-2): 22-35.

[31]
SINGH S K, VERMA C L, SHARMA D K.Prediction of evapotranspiration using artificial neural network model and compared with measured values. International Journal of Engineering Sciences & Research Technology, 2014, 1(3): 287-292.

文章导航

/