资源利用与管理

1990-2015年朝鲜土地覆被变化及驱动力分析

  • 董禹麟 , 1, 2 ,
  • 于皓 2, 3 ,
  • 王宗明 2 ,
  • 李明玉 , 1,
展开
  • 1. 延边大学理学院地理系,延吉 133002
  • 2. 中国科学院东北地理与农业生态研究所湿地生态与环境重点实验室,长春 130102
  • 3. 中国科学院大学,北京 100049
通讯作者: 李明玉(1974- ),女,黑龙江海林人,博士,副教授,研究方向为城市生态用地评价。E-mail:

作者简介:董禹麟(1993- ),男,河北承德人,硕士,研究方向为生态遥感。E-mail:

收稿日期: 2018-07-16

  要求修回日期: 2018-12-03

  网络出版日期: 2019-02-28

基金资助

中国科学院重点部署项目课题(KZZD-EW-08-02);国家自然科学基金项目(41461036)

Land cover change of DPRK and its driving forces from 1990 to 2015

  • DONG Yu-lin , 1, 2 ,
  • YU Hao 2, 3 ,
  • WANG Zong-ming 2 ,
  • LI Ming-yu , 1,
Expand
  • 1. Department of Geography, College of Sciences, Yanbian University, Yanji 133002, Jilin, China
  • 2. Key Laboratory of Wetland Ecology and Environment, Northeast institute of Geography and Agroecology, CAS, Changchun 130102, China
  • 3. University of Chinese Academy of Sciences, Beijing 100049, China

Received date: 2018-07-16

  Request revised date: 2018-12-03

  Online published: 2019-02-28

Copyright

《自然资源学报》编辑部 所有

摘要

基于Landsat TM/OLI遥感数据,采用面向对象的图像分析方法,提取1990年和2015年朝鲜土地覆被信息,定量描绘土地覆被变化。结果表明:25年间朝鲜土地覆被共变化1.1×104 km2,林地和湿地分别减少4976.1 km2、203.3 km2,耕地和人工表面分别增加4821.5 km2、80 km2;耕地面积增加明显,94.6%的耕地来源于林地,两者的主要转化区在海拔为100~1000 m、坡度为 8°~35°的坡地;黄海北道的土地覆被变化最显著,其次是平安南道,两江道最不明显。人口增长、经济环境退化和宏观政策的调控等人为因素是推动朝鲜土地覆被变化的主要原因。本文弥补了朝鲜长时间尺度土地覆被变化研究的空白,同时为东北亚地区土地资源可持续利用和生态环境保护奠定了基础。

本文引用格式

董禹麟 , 于皓 , 王宗明 , 李明玉 . 1990-2015年朝鲜土地覆被变化及驱动力分析[J]. 自然资源学报, 2019 , 34(2) : 288 -300 . DOI: 10.31497/zrzyxb.20190206

Abstract

Land cover change (LCC) is an important part of global change study and sustainable development research. Accurately describing the process of land surface change at the national scale is a necessary step in the study of the relationship between man and nature. The analysis of land cover change of Democratic People's Republic of Korea (DPRK), a hot developing country of concern to the international community, will be a key point to lay a foundation for the sustainable utilization of land resources and ecological environment protection in Northeast Asia and cross-boundary region of China. In this study, Landsat TM/OLI images of DPRK in 1990 and 2015 were used to extract the information of land cover by using object-based images analysis (OBIA) and some statistical data were used to analyze the driving forces of land use change in DPRK. The results showed that forestland (-4976.1 km2) and cropland (+4821.5 km2) were the most obviously changed land cover of DPRK in the 25 years. Wetland decreased by 212.2 km2, while built-up land increased by 82.8 km2. Among various land cover changes of DPRK, the expansion of cropland converted mainly from montane forest (94.6%) were essential and fast. The conversion between forestland and cropland significantly occured in sloping fields with relatively high elevations (100-1000 m) and intermediate slope gradients (8°-35°). In the meantime, the changed area of wetland and built-up land were mainly found at lower elevation (0-100 m and 0-200 m) areas which were nearly flat (0-8°). North Hwanghae, with a change rate of 17.3%, was the most obviously changed district, followed by South Pyongan. Land cover change of Ryanggang was least apparent with a change rate of 2.2%. DPRK has been suffering from the economic downturn and worsening natural environment since the 1990s, and its land cover changes were influenced mostly by human factors such as the growth of population, the deterioration of economic environment and the regulation of national macro-policy.

土地覆被变化是全球变化和可持续发展研究的重要组成部分[1,2]。土地覆被为人类提供最基本的诸如食物和能源供给、生活娱乐等生态系统服务功能,是联系自然和科学的纽带,从全球尺度到区域尺度,其变化都对气候、水文、生物地球化学循环及生物多样性有重要影响[3,4]。人类活动与自然环境变化是土地覆被变化的主要影响因素,准确描绘国家尺度的地表变化过程是研究人与自然关系的必要步骤[5]。朝鲜作为国际社会关注的热点发展中国家,饱受自然灾害和粮食问题的影响,但未放松对国土的规划与开发,掌握土地覆盖情况对研究其经济、粮食问题、边境人地关系等均具有重要意义。以往关于朝鲜的研究主要针对其经济、政治、自然环境及军事战略地位等方面[6,7,8],缺少国家尺度的土地覆被变化驱动力的研究。目前的30 m分辨率的土地覆被成果数据集(FROM-GLC和Globeland30)的时间间隔短[9,10],不能满足长时间国家尺度上的土地覆被研究。因此本文以Landsat TM/OLI影像数据为基础,利用面向对象的图像分析方法提取1990年和2015年朝鲜土地覆被分布信息,揭示近25年来朝鲜土地覆被变化特征及其驱动机制,为朝鲜人地关系研究和土地资源管理提供参考,为东北亚地区的土地资源可持续利用和生态环境保护奠定基础,同时为中国东北边境地区的相关研究提供基础数据和科学依据。

1 研究方法与数据来源

1.1 研究区概况

朝鲜是东北亚地区的组成部分,地处朝鲜半岛北部(125°~131°E,34°~43°N),领土南北狭长,面积约12.1×104 km2图1)。朝鲜三面环海,西侧沿黄海,东面沿日本海,南部有向黄海的出海口,东北部与俄罗斯隔江相望,南侧与韩国接壤,北部通过图们江、鸭绿江与中国相连。朝鲜四季分明,夏季多雨、冬季较长,大陆性气候与海洋性气候共存,年均气温约8 ℃,年均降水量在1000 mm以上。山地约占朝鲜国土面积的80%,平均海拔440 m,最高峰是长白山(朝方称白头山)上的将军峰,平原较少。朝鲜境内较长的河流有鸭绿江、大同江、青川江等;常见土壤类型有暗棕壤、水稻土、盐碱土等;具备丰富的森林资源和200多种可开采的有用矿物。
Fig. 1 Location and elevation of DPRK

图1 朝鲜地理位置与高程

朝鲜设有11个道(市、区),首都平壤是其政治经济文化中心,与天津、莫斯科互为友好城市[11]。朝鲜的采矿工业属于支柱产业[12],农业是主要产业。自建国以来,朝鲜较早地就用规定和规划管理与开发国土[13]。近年来,朝鲜在经济领域进行了多方面的调整,尽管目前仍抵触于融入地区社会[14],但与中国长期保持着较密切的经济、政治联系。俄罗斯与朝鲜的合作也在逐渐加深[15],2012年俄罗斯曾表示免除朝鲜90%的债务以换取其在朝鲜境内对能源、卫生和教育的投资权。

1.2 数据来源与预处理

本文基于Landsat TM/OLI影像(http://glovis.usgs.gov)提取朝鲜1990年和2015年土地覆被数据。辅助数据包括:(1)30 m分辨率的数字高程模型(DEM,http://www.gscloud.cn);(2)气象资料源数据是分辨率为1 km的栅格图像(中国科学院地理科学与资源研究所提供);(3)1992年和2013年的稳定夜间灯光数据(DMSP-OLI,https://www.ngdc.noaa.gov/eog/dmsp.html);(4)经济统计资料取自韩国统计厅(KOSIS,http://kosis.kr/index/index.do),人口统计数据取自联合国粮食及农业组织(FAO,http://www.fao.org/faostat/en/#data/OA),2015年朝鲜人口空间信息参考资料是分辨率为100 m的栅格图像(AsiaPop Dataset,http://www.worldpop.org.uk/data/)。
影像预处理包括:大气校正、几何精校正、拼接和分幅、图像增强等。根据朝鲜土地资源的分布特征、生态需求以及遥感解译能力,参考国内外相关土地资源遥感分类系统[16,17],形成适用于朝鲜的基于中等分辨率遥感影像的分类体系。共8种一级类型:林地、草地、湿地、水体、火烧迹地、裸土地、耕地、人工表面,其中林地包括的二级类型有针叶林、阔叶林、针阔混交林、灌木林;裸土地包括裸土和裸岩;耕地包括水田和旱田;人工表面包括居住地、工业用地、交通用地、采矿场。

1.3 土地覆被数据的提取方法

面向对象的图像分析(object-based images analysis,OBIA)对中高分辨率遥感影像分类效果要优于基于像元的分类技术。其能有效利用光谱、纹理、形状等多源信息,避免“同物异谱”“异物同谱”和“椒盐现象”(Salt-and-Pepper Noise)等,并对分类结果修改方便[18,19]。本文对土地覆被数据提取的过程采用由简到难、先主要后次要的原则,分为影像分割、构建规则集、自动分类和精度验证四个步骤。
影像分割是一种基于相邻像元异质性的迭代计算,能将原始数据划分成各种有意义的区域,是面向对象分析的基础,避免了地物漏分的问题[20],设置分割参数是影像分割的核心步骤。本文采用决策树分类法(图2),先统计地物的像元亮度值(DN),用光谱组合参数区分水体、林地、耕地、人工表面,基于几何特征进行水体、耕地的确认,由地形特征提取人工表面、湿地等[21],共引入9种参量:归一化植被指数(NDVI)、比值植被指数(RVI)、土壤调整植被指数(SAVI)、归一化水体指数(NDWI)、水分胁迫指数(MSI)、归一化差异湿度指数(NDMI)、归一化建筑指数(NDBI)、光谱组合色调(HUE)、地形因子等,经调试确定阈值构建规则集。由于朝鲜特殊的土地利用决策,在建立规则集时未直接使用数字高程数据区分耕地,以免漏分。自动分类后再根据专业知识手工修改错分斑块,提高土地覆被数据的精度[22]
Fig. 2 Process of decision tree classification

图2 决策树分类流程

本文通过在Google Earth的高分辨率影像上随机选取验证点的方法验证分类精度。在研究区内均匀选取1990年376个,2015年411个,总计787个验证点,并选取面积大于36个像元、周长超过4个像元长度的斑块18492个(46.2%)验证斑块变化精度[23]。结果表明,两期土地覆被分类总体精度均大于94.2%,kappa系数均超过0.92(表1),变化斑块的精度为97.5%,满足研究需求。
Table 1 Classification accuracy of land cover for DPRK in 1990 and 2015 (%)

表1 各土地覆被类型分类精度

分类结果 林地 耕地 水体 人工表面 草地 裸土地 湿地 火烧迹地
1990年 制图精度 95.0 97.2 94.5 96.4 83.3 75.0 89.5 94.1
用户精度 97.4 96.3 89.5 94.6 83.3 81.8 94.4 88.9
2015年 制图精度 95.3 96.5 90.0 97.6 75.0 77.8 86.7 92.9
用户精度 97.3 93.3 92.3 93.2 81.8 87.5 86.7 92.9

1.4 分析方法

1.4.1 土地覆被变化率
土地覆被类型的空间变化由计算土地覆被变化率的数值表达[23],其表达式为:
P = i = 1 n U i - j i = 1 n U i × 100 % (1)
式中: P 为研究区的土地覆盖年变化率; U i 表示研究起始时间第 i 类土地覆盖类型的面积; U i - j 为内第 i 类土地覆盖类型转为非 i 类土地覆盖类型面积的总和。此处 P 值越大,土地覆被变化程度越大,反之越小。
1.4.2 土地覆被转移矩阵
土地覆被空间转化基于状态转移矩阵分析[24],是一种在时空上对土地状态的定量 表达:
U ij = U 11 U 12 U 1 n U 21 U 22 U 21 U n 1 U n 2 U nn (2)
式中: U ij 为研究初时刻到研究末时刻间土地类型从 i 转向 j 的情况; n 为土地覆被类型数量。

2 结果分析

2.1 朝鲜2015年土地覆被情况

林地和耕地是朝鲜的主要土地覆被类型,共占全国总面积的94.5%(图3)。林地面积为7.7×104 km2,分布在各个行政区内,在平壤和黄海南道的面积少于耕地;耕地面积为3.7×104 km2,主要分布在西海岸,在东部沿海地区内间断分布,随着海拔和坡度的增加不断减少。水体的表面积3732 km2,各地均有分布。人工表面主要分布在平壤、咸兴—兴南工业地区(位于咸兴南道)和清津市(位于咸镜北道)内;草地集中在两江道内;湿地集中在黄海南道的沿海地区;火烧迹地和裸土地零星分布在朝鲜境内。
Fig. 3 Land cover of DPRK in 1990 and 2015

图3 1990年与2015年朝鲜土地覆被情况

2.2 土地覆被变化空间特征

1990-2015年间朝鲜土地覆被变化显著,共1.1×104 km2,达总面积的8.8%(表2)。林地、湿地、裸土地、火烧迹地面积分别减少4976.1 km2、203.3 km2、79.2 km2、46.0 km2;耕地、水体、人工表面、草地面积分别增加4821.5 km2、387.5 km2、80.0 km2、15.6 km2。火烧迹地变化最显著,变化率为-59.9%,其次为湿地(-27.5%)和耕地(+15.0%),草地的变化最不明显(+1.8%)。
Table 2 Areal extent change of land cover in DPRK from 1990 to 2015

表2 1990-2015年朝鲜各土地覆被类型变化面积及比率

土地覆被类型 林地 耕地 水体 人工表面 草地 裸土地 湿地 火烧迹地
变化面积/km2 -4976.1 +4821.5 +387.5 +80.0 +15.6 -79.2 -203.3 -46.0
变化率/% -6.1 +15.0 +11.6 +9.7 +1.8 -12.8 -27.5 -59.9

注:不包括周边海岛,“+”为增加,“-”为减少,下同。

黄海北道的土地覆被变化最显著,变化面积1346.8 km2,占其总面积的17.3% (表3),其次是平安南道,变化面积占其总面积的15.3%;两江道的土地覆被变化最少,变化面积(302.5 km2)占其总面积的2.2%。各行政区内均呈现耕地、水体、人工表面增加和林地减少的现象,其中耕地在慈江道增加最多(+1154.1 km2),水体在江原道大幅增加(+85.3 km2),人工表面在平安南道、咸镜南道以及平壤增长突出,分别增加了 +14.8 km2、+12.4 km2和+10.7 km2;林地在慈江道减少最多(-1190.1 km2)。
Table 3 Areal extent change of land cover in various administrative disticts of DPRK from 1990 to 2015 (km2)

表3 1990-2015年朝鲜各行政区土地覆被类型面积变化

行政区 林地 耕地 水体 人工表面 草地 裸土地 湿地 火烧迹地
慈江道 -1190.1 +1154.1 +41.3 +6.4 -4.0 -6.0 -0.4 +0.7
黄海北道 -673.5 +652.9 +13.1 +6.8 +0.1 +0.0 -0.4
黄海南道 -90.0 +124.4 +4.5 +7.0 -1.0 +0.3 -43.4 -1.5
江原道 -616.7 +496.8 +85.3 +1.3 +31.7 +0.7 +0.5 +0.5
开城工业区 -15.7 +7.4 +1.7 +5.4 +1.5 -0.3
两江道 -106.6 +45.0 +58.6 +9.9 +37.8 -18.7 -2.1 -23.8
平安北道 -452.4 +464.9 +71.9 +3.8 +10.3 -99.3 -0.1
平安南道 -874.1 +870.8 +49.4 +14.8 +1.2 -2.0 -59.6 +0.0
平壤特别市 -117.4 +112.2 +3.4 +10.7 -1.8 -7.1
咸镜北道 -354.0 +447.8 +4.8 +1.6 -42.7 -56.5 -1.3
咸镜南道 -485.6 +445.3 +53.6 +12.4 -7.4 -7.1 +1.4 -13.1

2.3 主要土地覆被类型转化特征

(1)耕地转入:2015年耕地面积为3.7×104 km2,占总面积的30.7%,较1990年扩张4821.5 km2,年均增加192.9 km2。绝大多数的耕地由林地转化而来(+5430.3 km2),集中在慈江道、平安南道、平安北道等地区内,其次是水体和湿地,转入耕地的面积分别为146.5 km2和101.5 km2,其他类型为耕地贡献较少,总计64.1 km2表4)。
Table 4 Conversion matrix of land cover of DPRK from 1990 to 2005

表4 1990-2015年朝鲜土地覆被类型转化表

1990-2015年各类型间转化 林地 耕地 水体 人工表面 草地 裸土地 湿地 火烧迹地
林地 面积/km2 5430.3 80.2 11.1 88.7 12.7 0.9 22.8
比例/% 96.2 1.4 0.2 1.6 0.2 0 0.4
耕地 面积/km2 440.7 344.1 78.7 20.2 17.0 14.1 0
比例/% 48.2 37.6 8.6 2.2 1.9 1.5 0
水体 面积/km2 12.4 146.5 0.9 0.1 4.3 61.8 0
比例/% 5.5 64.9 0.4 0 1.9 27.4 0
人工表面 面积/km2 0.6 8.9 0.1 0 2.6 0 0
比例/% 5.2 72.6 1.0 21.3
草地 面积/km2 67.5 24.6 1.2 0.1 4.0 0 0
比例/% 69.4 25.3 1.2 0.1 4.1
裸土地 面积/km2 94.5 15.1 8.1 0.4 0.8 0 0
比例/% 79.5 12.7 6.9 0.3 0.6
湿地 面积/km2 5.7 101.5 171.8 1.0 0 0.6 0
比例/% 2.0 36.2 61.2 0.4 0.2
火烧迹地 面积/km2 49.1 9.1 7.6 0.1 3.0 0.2 0
比例/% 71.2 13.1 11.0 0.1 4.3 0.3 0
(2)水体转入:水体表面积增加387.5 km2,年均增加15.5 km2,耕地(+344.1 km2)、湿地(+171.8 km2)和林地(+80.2 km2)是水体的主要转入类型。水体的增加主要发生在图们江—鸭绿江流域(两江道、慈江道、平安北道)、大同江流域(咸镜南道、平安南道)和林津江—北汉江流域(江原道)。
(3)人工表面转入:人工表面扩张80.0 km2,主要的转入类型是耕地(+78.7 km2)。人工表面在平安南道(+15.3 km2)、咸镜南道(+12.8 km2)、平壤(+11.0 km2)增加最多,主要分布于工业地区内部,如以平壤—南浦—松林为中心的工业地区(位于平壤和平安南道的交界)、海州工业地区(位于黄海南道)、咸兴工业地区(位于咸镜南道)等。
(4)林地转出:2015年林地占全国总面积的63.8%,较1990年减少4976.1 km2,年均减少199.0 km2。林地的转出几乎覆盖全国各地,主要变为耕地,占林地总转出的96.2%,在慈江道内林地转向耕地最多(-1308.8 km2)。
(5)湿地转出:湿地面积减少203.3 km2,年均8.1 km2,主要转向对象是耕地和水体,在平安北道(-34.9 km2、-79.5 km2)、平安南道(-26.8 km2、-35.8 km2)、黄海南道(-38.9 km2、-58.0 km2)转出面积较大(图4)。
Fig. 4 Land cover conversion of DPRK in 1990 and 2015

图4 1990年和2015年朝鲜土地覆被转化空间位置

3 驱动力分析

3.1 自然环境因素

3.1.1 地形因素
随着坡度升高,水流由缓至快,水土流失由弱至强[26],土地利用决策发生了本质改变,推动土地覆被变化。朝鲜山地众多,强调因地制宜,挖掘潜力,充分利用坡地和山林,广泛动员群众开垦山地,砍伐森林,改为旱田和果园,用以种植玉米和水果等。
朝鲜96.5%的土地覆被变化集中在海拔1000 m以下的区域(表5)。林地和耕地的变化集中在海拔为100~1000 m的较陡(8°~35°)坡地;水体、湿地和人工表面主要的变化发生在低海拔(0~300 m)的平缓(0~8°)地域。朝鲜从20世纪90年代就在矿山进行人工造林、退耕还林等工程[27],海拔1000 m以上的地区内,林地的增加、裸土地与火烧迹地的减少体现出朝鲜在山林保护方面努力的成果。
Table 5 Results of spatial analysis between land cover change and terrain factor (km2)

表5 土地覆被变化与地形因子的空间分析结果

土地覆被类型 林地 耕地 水体 人工表面 草地 裸土地 湿地 火烧迹地
高程/m 0~100 -581.4 +579.8 +142.8 +54.5 +2.3 +3.0 -200.8 -1.1
100~300 -1581.2 +1449.2 +100.8 +10.8 +25.8 +4.2 -0.45 -8.8
300~500 -1506.7 +1463.8 +42.2 +3.9 -4.9 -1.3 +0.1 +3.3
500~1000 -1443.8 +1410.8 +56.7 +7.5 -6.5 -2.4 -1.2 -21.0
1000~2 000 +82.7 -82.2 +44.9 +3.4 +6.9 -36.2 -1.0 -18.5
2000~2727 +54.3 +0.1 -8.0 -46.4
坡度/° 0~5 -323.0 +233.4 +218.9 +52.2 +15.9 -12.9 -173.5 -10.9
5~8 -500.4 +459.0 +65.7 +13.6 -3.3 -9.5 -19.3 -5.7
8~15 -1561.7 +525.0 +62.3 +9.7 +1.1 -17.9 -8.8 -9.7
15~25 -1830.2 +1832.4 +28.9 +3.8 +1.9 -21.5 -1.4 -14.0
25~35 -661.1 +669.4 +8.9 +0.6 +0.5 -12.9 -0.3 -5.2
35~87 -99.8 +102.5 +2.8 +0.2 -0.4 -4.5 -0.1 -0.6
3.1.2 气候变化与自然灾害
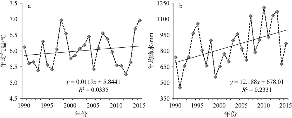
25年间朝鲜年均气温増势平缓,降水增势明显(图5)。朝鲜北部以盖马高原为中心的群山阻挡潮湿空气流动,引起区域降水增多,山地汇集的径流在西海岸平缓地带流出,时常引发洪水和泥石流等灾害,对区域农产品供给能力和植被演替造成严重影响[28,29],破坏了农村的居住地。水灾频发是开垦耕地的直接原因,多年来朝鲜共发生洪水灾害20余次,曾引发严重的水土流失,冲垮、淹没梯田、房屋和道路,造成大量的粮食和经济损失[30]。水灾常发生的区域内水体增加最多,以图们江—鸭绿江流域、大同江流域、临津江—北汉江流域为主,水体扩张来源主要是耕地、湿地和林地,并有一定量的水体变为耕地和湿地,印证洪水扩大河道、滞留并淹没低洼地区,引起多种土地覆被相互转化。
Fig. 5 Variation of temperature and precipitation in DPRK from 1990 to 2015

图5 1990-2015年朝鲜气温及降水趋势

3.2 人为因素

相比自然因素,人类活动对土地覆被变化的影响更显著[31],人口、经济、政策变化等都会造成集中且快速的土地覆被变化。
3.2.1 人口增长
人口压力增大是推动朝鲜土地覆被格局变化的重要原因。朝鲜人口由1990年的2019.4万人增长至2015年的2524.4万人,同比增长25.0%。城市人口增加352.3万人,达到1531.3万人,基于1992年和2013年的DMSP-OLS稳定灯光数据[32],城市人口在新义州、咸兴、开城、罗津—先锋、满浦—江界地区明显增加(图6),是主要的工业区,人工表面增长较多,体现了城市人口增长推动着人工表面扩张,但未显著刺激土地城市化进程。
Fig. 6 Obvious night-time DN growth regions of DPRK in 1992 and 2013

图6 1992年和2013年朝鲜灯光指数主要增长地区

农业人口增加143.8万人,达到984.2万人,根据2015年的AsiaPop数据[33],农业人口主要分布在西海岸,特别集中在平壤及其周边地区。经相关分析,人口与农林渔业产值存在曲线关系,农业人口与农林渔业产值的相关性最强,证实了人口数量上升促使粮食需求不断提高,推动着农林渔业产值增加。
人口增加引起对粮食、居住地、基础设施的需求加大,导致人工表面和耕地扩张,其中有小面积的农居被开垦或改良为耕地。人工表面的扩张占用耕地,开垦耕地使植被遭到破坏,加速生态环境恶化。朝鲜的人口在西海岸最多,大部分从事农业和渔业[34],尤其农业人口的增加,推动了耕地的迅速扩张,使各种土地类型被开垦为耕地。
3.2.2 经济萧条
上世纪末的世界社会主义市场崩溃使朝鲜的经济一蹶不振,直到1999年开始回升(图7),主要靠与中国的贸易支撑[35]。90年代时朝鲜意图用发展电力打开经济困难的局 面[36],修建了一些水电站和大型水库,破坏了周围的耕地、林地和居住地。朝鲜曾基本实现了城镇化与农业机械化[37],在进出口滑坡后,缺乏能源和肥料,不得已恢复到小农经济,用不断开垦新耕地的方式维持国民生计。朝鲜最具代表性的工业地区主要有以平壤为主的大同江下游工业区、以咸镜南道为主的东北工业区等,随着采矿工业的逐步回暖,这些地区内的人工表面增加较多,反映出采矿工业对人工表面的增加的促进作用。
Fig. 7 Variation of real GDP and industrial output value

图7 国内生产总值与主要产业产值变化

3.2.3 政策调控
朝鲜用《土地法》领导土地建设,并颁布规定强化土地利用和管理,如《关于土地监督的规定》《关于山林保护的规定》等,促进火烧迹地和裸土地的改良与利用。《土地法》中规定国土建设和资源开发时如需占用耕地,要事先开垦等量的耕地以作补充。多年来,朝鲜为尽快实现粮食的自给自足,不断提出和加强相关改革措施[38],如实行土地担当制、允许私营经济等,用经济利益带动农民的生产积极性,推动农户开垦耕地。据中科院赴朝土壤考察报告[39],朝鲜具备拦海造田的能力,水体对耕地的贡献较多证实了这点。近年来朝鲜试图用设置经济开发区的方式加强对外联系,重返全球经济体系[40],但多数开发区内的人工表面增长不明显。朝鲜于2011年提出了“国家经济开发十年战略计划”,目的是促进基础农业和工业的发展。在未来一段时间内,随着粮食逐渐自给自足、人口数量上升和工业化城市化进程加快[41],居住地和工业用地的建设将成为重点。

4 结论

(1)1990-2015年,朝鲜土地覆被变化的特征为林地、水体、湿地被开垦成耕地,林地是耕地的最主要来源,人工表面扩张缓慢。各行政区内均存在耕地、水体、人工表面增加和林地减少的现象,黄海北道的土地覆被变化最明显,两江道最不明显,体现出土地覆被变化的空间差异性。
(2)自然因素和人类活动推动朝鲜土地覆被变化。朝鲜的地形特征影响土地利用决策,使林地和耕地的转化集中在山区坡地,水体、湿地和人工表面的变化集中在低海拔的平缓地带。自然灾害频发破坏生产生活环境,使多种土地覆被相互转化。朝鲜在大量修建水电站等设施的同时使局部土地覆被发生变化。人口压力增大、经济低迷、政策调控与自然环境之间相互作用,形成一种“经济萧条—自然环境差—农业现代化水平低—自然环境恶化”的过程,促使朝鲜占用自然资源开垦耕地,增加粮食产量。
(3)发展经济和技术是朝鲜改善自然环境、加强农业现代化和推进工业化、城市化的必要步骤,现阶段朝鲜在大力促进经济恢复,有计划地推动经济发展和经济开发区的建设,在未来一段时间里,居住地和工业用地的建设会成为重点;农业经济改革不断深化,为实现粮食的自给自足,农户在经济利益的驱使下,会继续开垦耕地。

The authors have declared that no competing interests exist.

[1]
DONG J W, KUANG W H, LIU J Y.Continuous land cover change monitoring in the remote sensing big data era. Science China Earth Sciences, 2017, 60(12): 2223-2224.

[2]
刘源鑫, 赵文武. 未来地球—全球可持续性研究计划. 生态学报, 2013, 33(23): 7610-7613.

[LIU Y X, ZHAO W W.Future earth-global sustainability research program. Acta Ecologica Sinica, 2013, 33(23): 7610-7613.]

[3]
WANG Y, CHEN Y N, DING J L, et al. Land-use conversion and its attribution in the Kaidu-Kongqi River Basin, China. Quaternary International, 2015, 380-381: 216-223.

[4]
王宗明, 张柏, 张树清. 吉林省近20年土地利用变化及驱动力分析. 干旱区资源与环境, 2004, 18(6): 61-65.

[WANG Z M, ZHANG B, ZHANG S Q.Analysis on land use change and its driving forces in Jilin province in recent 20 years. Journal of Arid Land Resources and Environment, 2004, 18(6): 61-65.]

[5]
SONG W, DENG X Z.Land-use/land-cover change and ecosystem service provision in China. Science of the Total Environment, 2017, 576: 705-719.

[6]
CHOI J W, CHA Y, KANG S D, et al.Interdecadal variation in Korean spring drought in the early 1990s. Dynamics of Atmospheres and Oceans, 2017, 78: 165-177.

[7]
OKAMOTO K, YAMAKAWA S, KAWASHIMA H.Estimation of flood damage to rice production in North Korea in 1995. International Journal of Remote Sensing, 1998, 19(2): 365-371.

[8]
STRADIOTTO G, GUO S J.Market socialism in North Korea: A comparative perspective. Journal of the Asia Pacific Economy, 2007, 12(2): 188-214.

[9]
GONG P, WANG J, YU L, et al.Finer resolution observation and monitoring of global land cover: First mapping results with Landsat TM and ETM+ data. International Journal of Remote Sensing, 2013, 34(7): 2607-2654.

[10]
CHEN J, CHEN J, LIAO A P, et al.Global land cover mapping at 30 m resolution: A POK-based operational approach. ISPRS Journal of Photogrammetry and Remote Sensing, 2015, 103: 7-27.

[11]
CORDIELD J.Historical Dictionary of Pyongyang. London: Anthem Press, 2013.

[12]
YOON E.Status and future of the North Korean minerals sector. Korean Journal of Defense Analysis, 2011, 23(2): 191-210.

[13]
徐文吉. 朝鲜半岛时局与对策研究. 济南: 山东大学出版社, 2007.

[XU W J.The Current Situation and Countermeasures of Korean Peninsula. Jinan: Shandong University Press, 2007.]

[14]
赵可金. 东北亚的未来与中国的角色. 当代世界, 2017, (3): 8-11.

[ZHAO K J.The future of Northeast Asia and the role of China. Contemporary World, 2017, (3): 8-11.]

[15]
ZAKHAROVA L.Economic cooperation between Russia and North Korea: New goals and new approaches. Journal of Eurasian Studies, 2016, 7(2): 151-161.

[16]
欧阳志云, 张路, 吴炳方, 等. 基于遥感技术的全国生态系统分类体系. 生态学报, 2015, 35(2): 219-226.

[OUYANG Z Y, ZHANG L, WU B F, et al.An ecosystem classification system based on remote sensor information in China. Acta Ecologica Sinica, 2015, 35(2): 219-226.]

[17]
蔡红艳, 张树文, 张宇博. 全球环境变化视角下的土地覆盖分类系统研究综述. 遥感技术与应用, 2010, 25(1): 161-167.

[CAI H Y, ZHANG S W, ZHANG Y B.Review of land cover classification system under global environmental change view. Remote Sensing Technology and Application, 2010, 25(1): 161-167.]

[18]
黄志坚. 面向对象影像分析中的多尺度方法研究. 长沙: 国防科学技术大学, 2014.

[HUANG Z J.Research on multiscale methods in object-based image analysis. Changsha: National University of Defense Technology, 2014.]

[19]
GREBBY S, FIELD E, TANSEY K.Evaluating the use of an object-based approach to lithological mapping in vegetated terrain. Remote Sensing, 2016, 8(10): 843.

[20]
葛春青, 张凌寒, 杨杰. 基于决策树规则的面向对象遥感影像分类. 遥感信息, 2009, (2): 86-90, 56.

[GE C Q, ZHANG L H, YANG J.Object-oriented classification of remote sensing image based on decision trees. Remote Sensing Information, 2009, (2): 86-90, 56.]

[21]
陈云浩, 冯通, 史培军, 等. 基于面向对象和规则的遥感影像分类研究. 武汉大学学报: 信息科学版, 2006, 31(4): 316-320.

[CHEN Y H, FENG T, SHI P J, et al.Classification of remote sensing image based on object oriented and class rules. Geomatics and Information Science of Wuhan University, 2006, 31(4): 316-320.]

[22]
WICKHAM J, V.STEHMAN S, GASS L, et al. Thematic accuracy assessment of the 2011 national land cover database (NLCD). Remote Sensing of Environment, 2017, 191: 328-341.

[23]
LIU J Y, LIU M L, TIAN H Q, et al.Spatial and temporal patterns of China's cropland during 1990-2000: An analysis based on Landsat TM data. Remote Sensing of Environment, 2005, 98(4): 442-456.

[24]
王宗明, 国志兴, 宋开山, 等. 2000-2005年三江平原土地利用/覆被变化对植被净初级生产力的影响研究. 自然资源学报, 2009, 24(1): 136-146.

[WANG Z M, GUO Z X, SONG K S, et al.Effects of land use/land cover change on net primary productivity of Sanjiang Plain during 2000-2015. Journal of Nature Resources, 2009, 24(1): 136-146.]

[25]
于皓, 张柏, 王宗明, 等. 1990-2015年韩国土地覆被变化及其驱动因素. 地理科学, 2017, 37(11): 1755-1763.

[YU H, ZHANG B, WANG Z M, et al.Land cover change and its driving forces in the Republic of Korea since the 1990s. Scientia Geographica Sinica, 2017, 37(11): 1755-1763.]

[26]
江晓波, 马泽忠, 曾文蓉, 等. 三峡地区土地利用/土地覆被变化及其驱动力分析. 水土保持学报, 2004, 18(4): 108-112.

[JIANG X B, MA Z Z, ZENG W R, et al.Land-use/cover change process and driving force analysis in Three Gorges area. Journal of Soil and Water Conservation, 2004, 18(4): 108-112.]

[27]
陆彦椿. 朝鲜的国土生态环境. 农村生态环境, 1992, (1): 67.

[LU Y C.Native ecological environment of DPRK. Journal of Ecology and Rural Environment, 1992, (1): 67.]

[28]
BAUNI V, SCHIVO F, CAPMOURTERES V, et al.Ecosystem loss assessment following hydroelectric dam flooding: The case of Yacyretá Argentina. Remote Sensing Applications: Society and Environment, 2015, 1: 50-60.

[29]
JIN G, WANG P, ZHAO T, et al. Reviews on land use change induced effects on regional hydrological ecosystem services for integrated water resources management. Physics and Chemistry of the Earth, Parts A/B/C, 2015, 89-90: 33-39.

[30]
MYEONG S Z.A study on constructing a cooperative system for South and North Koreas to counteract climate change on the Korean Peninsula III. Basic Research Report of Korea Environment Institute, 2013: 52-54.

[31]
郭斌, 陈佑启, 姚艳敏, 等. 土地利用与土地覆被变化驱动力研究综述. 中国农学通报, 2008, 24(4): 408-414.

[GUO B, CHEN Y Q, YAO Y M, et al.A review of the research on the driving force of land use and land cover change. Chinese Agricultural Science Bulletin, 2008, 24(4): 408-414.]

[32]
SUTTON P.Modeling population density with night-time satellite imagery and GIS. Environment and Urban Systems, 1997, 21(3-4): 227-244.

[33]
HUANG Y H, ZHAO C P, SONG X Y, et al.A semi-parametric geographically weighted (S-GWR) approach for modeling spatial distribution of population. Ecological Indicators, 2018, 85: 1022-1029.

[34]
杨振乾. 朝鲜. 北京:商务印书馆, 1975.

[YANG Z Q. North Korea.Beijing: Commercial Press, 1975.]

[35]
NANTO D K, MANYIN M E.China-North Korea relations. Congressional Research Service Report for Congress, 2010: 15-19.

[36]
金哲, 卞晶. 朝鲜“国家经济开发十年战略计划”探析. 辽东学院学报: 社会科学版, 2012, 14(1): 20-26.

[JIN Z, BIAN J.An analysis on North Korea's "10 Years State Strategy Plan for Economic Development". Journal of Eastern Liaoning University, 2012, 14(1): 20-26.]

[37]
陈卫平. 朝鲜农业的现状、体制及发展政策. 山区开发, 1994, (4): 62-65.

[CHEN W P.The status quo, system and development policy of agriculture in DPRK. Mountain Development, 1994, (4): 62-65.]

[38]
宫玉涛. 朝鲜农业改革评析. 当代亚太, 2007, (6): 50-57.

[GONG Y T.Comment on agricultural reform of DPRK. Journal of Contemporary Asia-Pacific Studies, 2007, (6): 50-57.]

[39]
龚子同, 王汝槦, 尤文瑞. 从土壤学角度看朝鲜农业的发展. 土壤, 1979, 11(5): 202-204, 171.

[GONG Z T, WANG R R, YOU W R.Agricultural development of DPRK from the perspective of soil science. Soils, 1979, 11(5): 202-204, 171.]

[40]
顾朝林, 邢铭. 朝鲜的经济开发区. 经济地理, 2014, 34(11): 1-9.

[GU C L, XING M.Special economic zones in the DPRK. Economic Geography, 2014, 34(11): 1-9.]

[41]
林今淑, 金美花. 金正恩执政后朝鲜经济好转原因及其走势. 延边大学学报: 社会科学版, 2016, 49(2): 12-18.

[LIN J S, JIN M H.Causes of the turnabout of DPRK after Kim Joug-un's ruling and the future trend. Journal of Yanbian University: Social Sciences, 2016, 49(2): 12-18.]

文章导航

/